Ce contenu est protégé par le droit d'auteur. Toute reproduction à l'extérieur des forums Alloprof est interdite et pourra être considérée comme une violation du droit d'auteur.
Merci d'avoir utilisé la zone d'entraide pour répondre à tes questions.
Tout d'abord,
Malheureusement je ne vois pas comment tu as obtenu cette erreur mais je t'explique comment j'ai fais pour avoir 11 m. D'abord j'ai choisi d'utiliser la formule vf² = vi² + 2*a*delta x. On cherche delta x on a vf qui est de 10 m/s car 36 km/h / 3,6 et vi est de 12 m/s car l'accélération est de -2 m/s donc si on retourne 1 seconde dans le passé c'est 2 m/s en plus. donc maintenant la formule devient. 100=144-4delta x -> -44/-4 = delta x -> 11 m
Si tu souhaites approfondir le sujet je te conseille d'aller lire cette fiche Alloprof en cliquant sur le lien ci-dessous:
La première étape ici est de convertir les vitesses en m/s. Il est beaucoup plus facile de travailler avec des temps en secondes si les vitesses sont en m/s.
Ensuite, tu dois trouver le déplacement durant la 5e seconde. Pour ce faire, tu dois soustraire le déplacement en cinq secondes à celui fait en quatre secondes. La différence est le déplacement fait durant la 5e seconde.
Pour calculer ces déplacements, tu dois utiliser une des formules du MRUA, voici la liste :
Ce contenu est protégé par le droit d'auteur. Toute reproduction à l'extérieur des forums Alloprof est interdite et pourra être considérée comme une violation du droit d'auteur.
Un petit conseil, la vitesse finale à quatre secondes n'est pas la même que celle à cinq secondes. Je te laisse essayer avec ces indices!
Voici notre fiche sur les équations du MRUA si tu veux en savoir plus :
Explication d'un(e) pro de la Zone d'entraide
Tu peux faire confiance à cette explication, car elle est donnée par une personne identifiée comme étant fiable par Alloprof.
Bonjour DauphinDynamique7897
Merci d'avoir utilisé la zone d'entraide pour répondre à tes questions.
Tout d'abord,
Malheureusement je ne vois pas comment tu as obtenu cette erreur mais je t'explique comment j'ai fais pour avoir 11 m. D'abord j'ai choisi d'utiliser la formule vf² = vi² + 2*a*delta x. On cherche delta x on a vf qui est de 10 m/s car 36 km/h / 3,6 et vi est de 12 m/s car l'accélération est de -2 m/s donc si on retourne 1 seconde dans le passé c'est 2 m/s en plus. donc maintenant la formule devient. 100=144-4delta x -> -44/-4 = delta x -> 11 m
Si tu souhaites approfondir le sujet je te conseille d'aller lire cette fiche Alloprof en cliquant sur le lien ci-dessous:
https://www.alloprof.qc.ca/fr/eleves/bv/physique/la-cinematique-p1000
J'espère avoir pu t'aider. Si tu as d'autres questions n'hésite pas à nous en faire part.
Bon travail!
Explication d'Alloprof
Cette explication a été donnée par un membre de l'équipe d'Alloprof.
Salut DauphinDynamique7897,
Merci pour ta question!
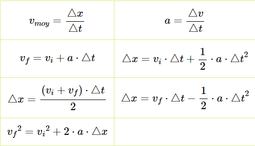
La première étape ici est de convertir les vitesses en m/s. Il est beaucoup plus facile de travailler avec des temps en secondes si les vitesses sont en m/s.
Ensuite, tu dois trouver le déplacement durant la 5e seconde. Pour ce faire, tu dois soustraire le déplacement en cinq secondes à celui fait en quatre secondes. La différence est le déplacement fait durant la 5e seconde.
Pour calculer ces déplacements, tu dois utiliser une des formules du MRUA, voici la liste :
Ce contenu est protégé par le droit d'auteur. Toute reproduction à l'extérieur des forums Alloprof est interdite et pourra être considérée comme une violation du droit d'auteur.
Un petit conseil, la vitesse finale à quatre secondes n'est pas la même que celle à cinq secondes. Je te laisse essayer avec ces indices!
Voici notre fiche sur les équations du MRUA si tu veux en savoir plus :
J'espère que ça t'aide et n'hésite pas à nous réécrire si tu as d'autres questions!
Anthony B.
Suggestions en lien avec la question
Suggestion en lien avec la question
Voici ce qui a été trouvé automatiquement sur le site, en espérant que ça t’aide!