Secondaire 5 • 3a
Salut! Je ne comprends pas bien cet exercice. Je pense qu'il faut utiliser la 2 ème loi de Newton, mais je ne vois pas comment.
Salut! Je ne comprends pas bien cet exercice. Je pense qu'il faut utiliser la 2 ème loi de Newton, mais je ne vois pas comment.
Explication d'Alloprof
Cette explication a été donnée par un membre de l'équipe d'Alloprof.
Salut DauphinDynamique7897,
Merci pour ta question!
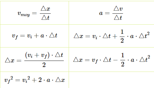
Pour faire ce problème, tu as besoin des formules du MRUA, car ton objet fait une chute libre et il a une accélération. Voici les formules du MRUA :
Ce contenu est protégé par le droit d'auteur. Toute reproduction à l'extérieur des forums Alloprof est interdite et pourra être considérée comme une violation du droit d'auteur.
Dans ce problème, tu cherches le temps, tu dois donc choisir une formule qui te permet de trouver Δt en fonction des valeurs que tu connais.
Tu connais Δx, la chute est de 1,5m, tu connais la vitesse initiale, l'objet a une vitesse nulle au départ, et tu connais son accélération, c'est-à-dire la gravité. Je te laisse choisir la bonne formule et faire le calcul!
Voici notre fiche sur les équations du MRUA si tu veux en savoir plus à ce sujet :
J'espère que ça t'aide et n'hésite pas à nous réécrire si tu as d'autres questions!
Anthony B.
Suggestions en lien avec la question
Suggestion en lien avec la question
Voici ce qui a été trouvé automatiquement sur le site, en espérant que ça t’aide!