Skip to content

Zone d’entraide

Question de l’élève

Secondaire 5 • 3a

Bonjour, je ne comprends vraiment pas ce problème. Quelqu'un peut-il m'aider?

IMG_1212.jpg

Merci beaucoup!

Physique
avatar
avatar

{t c="richEditor.description.title"} {t c="richEditor.description.paragraphMenu"} {t c="richEditor.description.inlineMenu"} {t c="richEditor.description.embed"}

Explications (1)

  • Explication d'Alloprof

    Explication d'Alloprof

    Cette explication a été donnée par un membre de l'équipe d'Alloprof.

    Options
    Équipe Alloprof • 3a

    Bonsoir LoupFantastique8219, 

    Merci de solliciter nos services. 

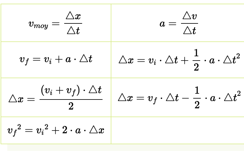
    Pour résoudre ce problème, tu devras procéder par étapes. En fait, tu devras utiliser une formule MRUA deux fois puisque tu devras séquencer le problème en deux étapes. De plus, la vitesse finale de la première étape deviendra la vitesse initiale de la deuxième étape. 

    Voici les formules MRUA.

    Capture d’écran, le 2023-01-19 à 19.06.20.png


    Bref, je t’invite à déterminer quelle est la première séquence du problème et quelle est la deuxième. Par la suite, tu pourras identifier les données connues à l’aide de variables afin de décider quelle formule utiliser. 

    Cela étant dit, je t’invite à cliquer sur le lien ci-dessous afin de voir des exemples de problèmes similaires à celui-ci. 


    En espérant que ma réponse t’aide un petit peu. 

    N’hésite pas à nous réécrire si tu as d’autres questions! 

    Émilie

Poser une question