Secondaire 4 • 2a
Bonjour je ne comprends pas comment résoudre la formule quadratique est-ce que quelqu’un pourrait me l’expliquer?
Bonjour je ne comprends pas comment résoudre la formule quadratique est-ce que quelqu’un pourrait me l’expliquer?
Explication d'Alloprof
Cette explication a été donnée par un membre de l'équipe d'Alloprof.
Salut!
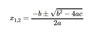
La formule quadratique, soit :
Ce contenu est protégé par le droit d'auteur. Toute reproduction à l'extérieur des forums Alloprof est interdite et pourra être considérée comme une violation du droit d'auteur.
sert à résoudre une équation de second degré et à trouver les zéros d'une parabole.
Il peut y en avoir 2 :
Ce contenu est protégé par le droit d'auteur. Toute reproduction à l'extérieur des forums Alloprof est interdite et pourra être considérée comme une violation du droit d'auteur.
Un seul :
Ce contenu est protégé par le droit d'auteur. Toute reproduction à l'extérieur des forums Alloprof est interdite et pourra être considérée comme une violation du droit d'auteur.
ou aucun :
Ce contenu est protégé par le droit d'auteur. Toute reproduction à l'extérieur des forums Alloprof est interdite et pourra être considérée comme une violation du droit d'auteur.
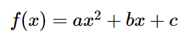
Pour l'utiliser, tu dois identifier les paramètres a, b et c dans la règle de la fonction sous forme générale (donc, si l'équation est sous forme canonique, tu dois la transformer en une forme générale).
Ce contenu est protégé par le droit d'auteur. Toute reproduction à l'extérieur des forums Alloprof est interdite et pourra être considérée comme une violation du droit d'auteur.
Consulte cette fiche au besoin : Les formes d'écriture de la fonction polynomiale de degré 2 | Secondaire | Alloprof
Par exemple, si nous avons la fonction \(f(x)=2x^{2}+3x-5\), nos paramètres seront : A = 2, B = 3 et C = -5. Notre formule quadratique ressemblerait alors à ceci :
$$ x_{1,2} = \frac{-3±\sqrt{3^2-4(2)(-5)}}{2(2)}$$
Tu devras ensuite séparer l'équation en deux équations distinctes :
$$ x_{1} = \frac{-3+\sqrt{3^2-4(2)(-5)}}{2(2)}$$
et
$$ x_{2} = \frac{-3-\sqrt{3^2-4(2)(-5)}}{2(2)}$$
De plus, si tu souhaites résoudre une équation de degré 2 à l'aide de la formule quadratique, tu dois t'assurer d'avoir 0 d'un côté de l'équation. Par exemple, si on a l'équation
$$ 2x^{2}+3x-5=8$$
Alors il faut éliminer la constante 8 du côté droit de l'équation, comme ceci :
$$ 2x^{2}+3x-5-8=8-8$$
$$ 2x^{2}+3x-13=0$$
On peut alors appliquer la formule quadratique pour trouver la ou les valeurs de x :
$$ x_{1,2} = \frac{-3±\sqrt{3^2-4(2)(-13)}}{2(2)}$$
Voici des fiches sur ces notions qui pourraient t'être utiles :
J'espère que c'est plus clair pour toi! :)
Suggestions en lien avec la question
Suggestion en lien avec la question
Voici ce qui a été trouvé automatiquement sur le site, en espérant que ça t’aide!