Ce contenu est protégé par le droit d'auteur. Toute reproduction à l'extérieur des forums Alloprof est interdite et pourra être considérée comme une violation du droit d'auteur.
je les fais, sauf le #2 et #3, parce que je n’y arrive pas
Cet exercice est similaire au précédent, la seule différence est que le mouvement est en MRUA dans cette situation.
Tu connais la position, l'accélération, le temps et la vitesse initiale. Tu as tout ce qu'il te faut pour utiliser les formules du MRUA pour chaque composante. Voici les équations du MRUA pour t'aider :
Ce contenu est protégé par le droit d'auteur. Toute reproduction à l'extérieur des forums Alloprof est interdite et pourra être considérée comme une violation du droit d'auteur.
Tu dois donc choisir la bonne formule et l'utiliser pour la composante x et y afin de trouver la position finale de l'objet.
Voici notre fiche à ce sujet si tu veux en savoir plus :
Explication d'Alloprof
Cette explication a été donnée par un membre de l'équipe d'Alloprof.
Salut CobraAgile5908,
Merci pour ta question!
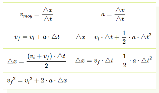
Cet exercice est similaire au précédent, la seule différence est que le mouvement est en MRUA dans cette situation.
Tu connais la position, l'accélération, le temps et la vitesse initiale. Tu as tout ce qu'il te faut pour utiliser les formules du MRUA pour chaque composante. Voici les équations du MRUA pour t'aider :
Ce contenu est protégé par le droit d'auteur. Toute reproduction à l'extérieur des forums Alloprof est interdite et pourra être considérée comme une violation du droit d'auteur.
Tu dois donc choisir la bonne formule et l'utiliser pour la composante x et y afin de trouver la position finale de l'objet.
Voici notre fiche à ce sujet si tu veux en savoir plus :
Je te laisse essayer avec cet indice !
J'espère que ça t'aide et n'hésite pas à nous réécrire si tu as d'autres questions!
Anthony B.
Suggestions en lien avec la question
Suggestion en lien avec la question
Voici ce qui a été trouvé automatiquement sur le site, en espérant que ça t’aide!