Secondaire 5 • 1a
quand je regarde si mes x font partie de mon intervalle je trouve faux ducoup je calcul lintervalle selon la pronchaine periode en fesant un plus et en ecrivant mon ensemble solution selon (0,6) mais je comprend pourquoi eux ne font pas ca quelqun peux mexpliquer ce quil on fait et les etapes pour arriver a leurs reponseet jai dailleurs aussi checker la page en lien avec mon exercice et ca ne maide pas :( cest urgent


J'ai souvent besoin d'une aide visuelle. (Le cercle)
Aussi j'utilise toujours l'angle de la fonction trigonométrique, ici, π(x-3)/2 plutôt que d'essayer de déduire la période de x, j'aurais peur de me mêler alors que pour l'angle de la fonction trigonométrique je connais la période. Ici c'est un sinus donc la période est 2π.
Voici mon explication:
(note que je n'ai pas fait les calculs avec autant de précision que dans ton corrigé)
Ce contenu est protégé par le droit d'auteur. Toute reproduction à l'extérieur des forums Alloprof est interdite et pourra être considérée comme une violation du droit d'auteur.
Explication d'un(e) pro de la Zone d'entraide
Tu peux faire confiance à cette explication, car elle est donnée par une personne identifiée comme étant fiable par Alloprof.
Bonjour OrignalTranquille7190,
Merci d'utiliser la zone d'entraide pour te venir en aide.
La première étape ici est de trouver la période de ta fonction sinus, par la formule 2pi / (Valeur absolue de b). Ainsi, comme affiché dans le corrigé, tu obtiens 4 comme réponse ( 2pi / (pi/2) ).
Par la suite, tu n'as qu'à utiliser les étapes classiques de la résolution d'équations (passer les nombres de l'autre côté, etc.) afin d'arriver à une valeur pour l'arc sin.
Tu sais que dans chaque résolution d'une équation ou inéquation sinus, tu as deux réponses possibles: ici, c'est arc sin 1/3 et (pi - arc sin 1/3). Il ne te reste plus qu'à calculer la valeur de x dans chacun des cas.
Enfin, la dernière étape sera de visualiser ton inéquation graphiquement afin de déterminer le bon ensemble solution. Pour cela, je te conseille d'utiliser une calculatrice à affichage graphique! Tu auras peut-être besoin d'ajouter ou d'enlever des périodes aux valeurs que tu as obtenues pour compléter ton ensemble solution. Le fait que 0 et 6 ne soient pas inclus dans la réponse du corrigé ne signifie qu'une chose: la valeur de y quand x vaut 0 et 6 ne respecte pas l'inéquation (elle doit être supérieure ou égale à -0,5)!
Pour t'aider à mieux comprendre ce chapitre, je t'invite à consulter la fiche suivante, qui explique les étapes qui permettent de résoudre une équation ou une inéquation sinus.
J'espère que j'ai pu répondre à ta question,
N'hésite pas à nous poser des questions à nouveau,
Ne lâche pas,
AigleInsolite2809
Explication d'Alloprof
Cette explication a été donnée par un membre de l'équipe d'Alloprof.
Salut!
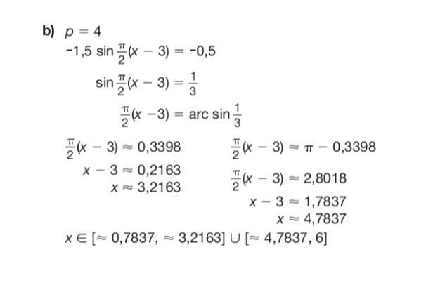
On commence par résoudre l'équation cosinus ici :
Ce contenu est protégé par le droit d'auteur. Toute reproduction à l'extérieur des forums Alloprof est interdite et pourra être considérée comme une violation du droit d'auteur.
Consulter cette fiche au besoin pour d'autres exemples de résolution similaire : Résoudre une équation ou une inéquation cosinus | Secondaire | Alloprof
En résolvant l'équation, on trouve les deux points d'intersection suivants avec y=-0,5 :
Ce contenu est protégé par le droit d'auteur. Toute reproduction à l'extérieur des forums Alloprof est interdite et pourra être considérée comme une violation du droit d'auteur.
Puisqu'on veut être supérieur ou égal à -0,5 et compris entre [0, 6], on cherche donc cet ensemble-solution :
Ce contenu est protégé par le droit d'auteur. Toute reproduction à l'extérieur des forums Alloprof est interdite et pourra être considérée comme une violation du droit d'auteur.
Tu peux trouver la coordonnée du premier point
Ce contenu est protégé par le droit d'auteur. Toute reproduction à l'extérieur des forums Alloprof est interdite et pourra être considérée comme une violation du droit d'auteur.
En reculant d'une période à partir de x=4,784 :
$$ 4,784-4=0,784$$
On trouve donc notre premier intervalle, soit [0,784; 3,214].
Ce contenu est protégé par le droit d'auteur. Toute reproduction à l'extérieur des forums Alloprof est interdite et pourra être considérée comme une violation du droit d'auteur.
Le second intervalle s'étend du point x=4,785 (trouvé en résolvant l'équation) jusqu'à x=6 (notre domaine de x souhaité).
On termine en unissant les deux intervalles d'un symbole d'union.
J'espère que c'est plus clair pour toi! Reviens nous voir si tu as d'autres questions! :)
Suggestions en lien avec la question
Suggestion en lien avec la question
Voici ce qui a été trouvé automatiquement sur le site, en espérant que ça t’aide!