Best Of
Re: Question
Le problème mentionne les températures mais ne donne aucune explication sur comment le nombre de bactéries change en fonction de la température.
On en conclut qu'en autant que la température est entre 4ºC et 60ºC le nombre de bactéries n'est pas influencé par la température, seulement par le temps.
Au départ, à t = 0 (la température est de 4ºC) le nombre de bactéries B est 10
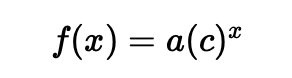
on veut déterminer B(t) = ?
on sait que B(0) = 10
comme les bactérie doublent au 15 minutesÂ
B(15) = 2 · 10 = 2 · B(0)
B(30) = 2 · B(15) = 2 · 2 · B(0) = 2² · B(0)
Β(45) = 2 · B(30) = 2 · 2² · B(0) = 2³ · B(0)
....
combien de tranches de 15 minutes y a-t-il dans t = 45? t/15
plus généralement
qui est une application de la forme canonique simplifiée
https://www.alloprof.qc.ca/fr/eleves/bv/mathematiques/la-fonction-exponentielle-m1143
Re: Question
Bonjour PommeEnthousiaste328,
Merci beaucoup pour ta question! Oui, un marteau en fer est un objet ferromagnétique. En effet, le marteau en fer peut être attiré par un aimant et cela est dû à la présence de fer dans celui-ci. De plus, le marteau en fer peut devenir lui-même aimanté s’il est soumis trop longtemps à un champ magnétique. Voici une fiche qui pourrait t’aider :
J’espère avoir répondu à ta question. N’hésite pas à nous réécrire si des questions persistent!
Re: Question
Un nomade est un peuple qui bouge selon les besoins ou les saison. Les sédentaires est un peuple qui reste à la place oû il vit. Une autre différence sont que les nomades ont une tente comme ça leur déplacement sont plus facile. Les sédentaires ont une maison similaire comme la notre.
Re: Question
En fait ;
Sédentaire = ne change pas de terre et reste très longtemps sans ''déménager '' (il est très probable que les nomade font de l'agriculture ...
Nomade = change constamment de terre et '' déménage ''(il est très probable qu'ils mangent des petit fruit et chassent)
J’espère que sa t'aide :)
Re: Question
Bonjour BrachiosaureCharismatique4888 je vais vais t'expliquer c'est quoi Nomade et Sédentaire
Nomade: n'a pas d'habitation fixe et se déplace beaucoup peut-être selon les saisons (groupe humain qui vit en se déplaçant ).
Sédentaire: qui reste attaché à un lieu ou une région. Jore il n'aime pas se déménager ou se déplacer de place ,de maison.
J'espère que ça t'aidera mieux à comprendre !
Re: Question
Salut!
Puisque le centre C du cercle est situé au milieu du diamètre, tu dois donc chercher le point milieu du segment AB pour trouver les coordonnées du point C. Voici la formule à utiliser :
Je te laisse essayer le calcul. Si tu as de la difficulté à le faire, reviens nous voir en nous précisant où ça bloque, ça nous fera plaisir de t'aider! :)
Re: Question
Hello!
The present continuous or the present progressive is a tense of verb that is used when you are currently doing this action. In French, it would be translated as "Être en train de (verbe)".
For example, I am working on my geography project. (Je suis en train de travailler sur mon projet de géographie.)
How do you build the present progressive tense?
You simply need the auxiliary to be and the gerund of the verb. What's the gerund of a verb? It's when a verb is turning into verb(-ing) like
- Make -> Making
As the same of French, you will conjugate the auxiliary and not the gerund. So, if you know your verb to be in the present tense and you are able to transform a verb into its gerund tense, you are capable of doing Present continuous!
Here are some example:
- To walk : I am walking, she is walking
- To eat : They are eating
So : Present continuous = verb to be + gerund(ing)
https://www.alloprof.qc.ca/fr/eleves/bv/anglais/present-continuous-0-a2420
Goodluck!
Re: Question
Oui, il est possible qu'il y ait un verbe dans un groupe du nom, sauf que le verbe aura souvent la forme de ce qu'on appelle un participe passé.
Ex : Les souliers lavés sont prêts à être portés.
Lavés est ton participe passé du verbe laver.
Re: Question
Coucou !
Pour répondre à ta question, c'est en fonction de l'expansion de ton nom. Par exemple, dans la phrase Mon chat noir veut sortir dehors, le groupe du nom est mon chat noir composé d'un déterminant, le nom ( le noyau) et un adjectif (qui est une expansion du nom. Si on prenait la phrase Mon petit cousin, celui qui jouait au baseball depuis qu'il a 13 ans, a une grande compagnie, eh bien le groupe du nom serait mon petit cousin, celui qui jouait au baseball depuis qu'il a 13 ans. Ce groupe du nom est composé du déterminant, d'un adjectif, du nom et d'une subordonnée relative (celui qui jouait au baseball depuis qu'il a 13 ans) dont tu apprendras plus dessus dans les années à venir. Tu te rends donc compte que dans cette expansion, on y retrouve un verbe.
Pour résumer ça, si ton expansion est semblable à ce que je t'ai montré (plus courte ou plus longue), tu retrouveras un verbe, mais si c'est une courte expansion, comme on utilise juste des adjectifs, eh bien, il n'y en aurait pas !
Désolé pour ce long paragraphe et j'espère t'avoir aidé !
Re: Question
Bonjour IguanodonCocasse9658,
La virgule peut avoir différentes fonctions. Elle peut être utilisée pour une énumération, pour isoler un complément du nom ou un complément de phrase, ou bien pour la coordination (avec un coordonnant). Je t'invite à jeter un coup d'œil à cet aide-mémoire sur la virgule :
Cette fiche peut être aussi bien utile! :
https://www.alloprof.qc.ca/fr/eleves/bv/francais/la-virgule-f1166
Pour finir, tu peux écouter courte vidéo de 3 min qui t'explique les fonctions de la virgule :
https://www.alloprof.qc.ca/fr/eleves/bv/francais/la-virgule-f1166#video-la-virgule
J'espère que j'ai bien pu répondre à ta question, et je te souhaite une bonne étude!



