Best Of
Re: Question
Salut RubisHonorable7081,
Merci pour ta question!
Nous n'avons pas de documents de révision, mais je peux te donner des répertoires pour t'aider.
Tu peux consulter les fiches et faire les exercices.
J'espère t'avoir aidé!
Lea-Kim
Re: Question
Allo PapillonEmpathique6604,
Merci pour ta question!
L'examen du ministère est secret pour tous jusqu'à demain 9h! Nous ne savons pas ce qu'il y aura dedans.
Par contre, ce sont tous des sujets possibles. Il pourrait donc y avoir des questions sur ces sujets.
J'espère t'avoir aidé!
Lea-Kim
Re: Question
Salut !
Tout d'abord, voici un lien vers une une publication qui décrit le processus de calcul de tension avec des cordes.
Il faut commencer par décrire les forces impliquées dans le système.
Ainsi, tu peux voir qu'au repos, la force gravitationnelle \(F_g\) appliqué sur l'objet est équivalent à la force de tension globale \(T\). Il est possible de calculer les forces \(T_1\) et \(T_2\) à l'aide d'un rapport trigonométrique.
$$ T_1=T_2=T\cos{\theta} $$
J'espère que cela ait pu t'aider et si tu as d'autres questions, n'hésite pas !
Bonne soirée !
Re: Question
Salut !
La première étape est de revoir un peu les notions de principe d'inertie. La première loi de Newton, ou le principe d'inertie, indique que tout corps conservera son état de repos ou de mouvement uniforme en ligne droite dans lequel il se trouve, à moins qu'une force ne soit appliquée sur ce corps.
L'objet semble sortir du tube parce qu'il reste en place (ou se déplace beaucoup moins que le tube) pendant que le tube se déplace rapidement sous l'effet de la frappe, illustrant ainsi le principe d'inertie.
J'espère que cela ait pu t'aider et si tu as d'autres questions, n'hésite pas !
Bonne soirée !
Re: Question
Salut à toi!
Merci pour ta question :)
Veux-tu dire devenir un Pro de la Zone d'Entraide? Si oui, on doit être au secondaire pour le faire, et nous ne recrutons plus pour l'instant cette année! Tu peux toujours continuer à donner des réponses aux questions que tu connais, ça permettra à l'équipe de voir de quoi tu es capable!
Merci de ton intérêt pour AlloProf!
Bonne journée! :D
Ariane
Re: Question
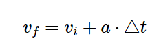
Allo DauphinAgile8257,
Merci pour ta question!
Pour commencer, tu dois trouver le temps que ça prendra à l'auto pour atteindre 0 m/s. Pour se faire, utilise cette formule du MRUA
Lorsque tu auras le temps, tu peux utiliser une autre formule pour trouver la distance
Je te laisse cette fiche pour t'aider: https://www.alloprof.qc.ca/fr/eleves/bv/physique/les-equations-du-mrua-p1010
J'espère t'avoir aidé!
Lea-Kim
Re: Question
Salut LoupSigma8383!
Merci pour ta question. :)
Voici quelques pistes pour toi :
1- En ce qui a trait à l'impact de la végétation sur les terres agricoles, je te suggère de consulter cette fiche explicative, elle devrait te renseigner davantage sur le sujet!
2- Pour ce qui est des enjeux d'autonomie énergétique, je t'invite à consulter la super explication qui avait été donnée par ma collègue à cette question semblable à la tienne!
3- En ce qui concerne l'impact environnemental des exploitations énergétiques, je t'invite à consulter la super explication qui avait été donnée par ma collègue à cette question semblable à la tienne!
4- Pour ce qui est des enjeux de transport et de distribution des produits industriels, je te suggère de consulter cette fiche explicative, elle devrait te renseigner davantage sur le sujet!
5- En ce qui a trait à l'enjeu entre l'exploitation et la conservation de la forêt, je te suggère de consulter cette fiche explicative, elle devrait te renseigner davantage sur le sujet!
6- Finalement, en ce qui concerne la préservation et la modernisation des villes, je t'ai trouvé cette fiche qui aborde justement cet enjeu!
En espérant que cela répond à ta question. Si tu en as d'autres plus précises, n'hésite surtout pas à nous réécrire, il nous fera plaisir de t'aider à nouveau! Bon succès!
À bientôt,
Océane :)
Re: Question
Bonsoir, un adjuvant est un personnage qui va aider notre héros(personnage principal) et un opposant est un personnage qui va nuire à notre héros(personnage principal).
De rien!!!
Re: Question
Salut RubisHonorable7081 😁
Merci pour ta question!
Habituellement, pour la concentration et le volume de la solution finale, cela concerne la solution à préparer. Les verbes sont aussi au futur simple ou au conditionnel présent.
Et, pour la concentration initiale, c'est la solution dont on dispose pour faire la dilution. Le volume n'est pas important, car même si on dispose de 200 ml, on peut en prendre la quantité qu'on souhaite. Les verbes sont au présent.
Pour t'exercer, c'est par ici.
N'hésite pas si tu as d'autres questions 😊
À bientôt 😎
Re: Question
Bonjour RubisCocasse1240,
Il suffit de faire le calcul suivant:
360 ÷par le nombre de côtés. Cette formule fonctionne pour les polygones réguliers.





