Best Of
Re: Question
Effectivement, il y a une mesure manquante.
Parce que le dessin est à l'échelle on peut vérifier que la mesure manquante est de 0.8
Autrement tu aurais pu exprimer le périmètre et l'aire en fonction de cette mesure (x)
Re: Question
Salut :D
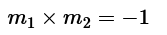
Dans la deuxième équation, isole d'abord la variable y d'un côté de l'égalité. Ensuite, tu pourras comparer les taux de variation des deux droites.
Pour des droites perpendiculaires, c'est :
Pour des droites parallèles, les pentes sont égales, elles ont le même taux de variation.
N'hésite pas si tu as d'autres questions :D À bientôt :)
Question
Allo, Alloprof! J'ai un problème, je connais mal les sorte de triangles... Je n'arrive pas à comprendre les triangles rectangles, et les triangles rectangle iscocèle :(
Re: Question
Salut,
Merci d'utiliser la zone d'entraide.
Une anaphore est une figure de style d’insistance. C’est une répétition qui consiste à répéter un mot, une expression ou un groupe de mots en début de phrase, de paragraphe, de vers ou de strophe.
L’anaphore est une figure d’insistance qui sert à mettre l’accent sur un ou des éléments présents dans le texte. Elle peut insister, entre autres, sur un état psychologique, sur les caractéristiques d’un lieu ou d’un personnage ou sur un thème. Elle peut également créer un effet sonore.
Il y a en effet des répétitions dans cet extrait. Je pense qu’un élan pourrait être considéré comme une anaphore.
Mais je t'invite tout de même à discuter de cette figure de style avec ton enseignant.
Bonne journée,
Karen
Re: Question
Salut :D
Dans ta deuxième équation, tu peux isoler d'abord la variable x d'un côté de l'égalité. Ensuite, remplace le x dans l'équation du haut par ce que tu auras trouvé.
Pour plus d'exemples sur cette méthode, c'est par ici.
N'hésite pas à reposer la question si tu ne trouves toujours pas, nous continuerons ensemble. :)
Re: Question
Bonjour!
Pour faire ton aide-mémoire, je te suggère d'utiliser nos fiches qui expliquent les différentes classe de mots. Le lien ci-dessous te mèneras à une fiche qui contient la liste de nos fiches sur les classes de mots. Un petit conseil : le plus important, pour trouver la classe d'un mot, c'est d'utiliser les manipulations syntaxiques qui permettent de trouver la classe d'un mot, je te suggère donc de les noter sur ta feuille. Tu trouveras aussi, tout au bas de la page, deux exercices sur les classes de mots qui pourraient t'intéresser! :D
Ensuite, si tu veux t'exercer à trouver les classes de mots avant ton examen, tu peux jouer au jeu Potager en péril. Voici le lien :
Si tu as d'autres questions, n'hésite pas à nous réécrire. Nous te répondrons avec plaisir.
Laurie :)
Re: Question
Salut à toi!
Merci pour ta question :)
En fait, c'est un peu un remue-méninges. Comme la Terre est ronde, techniquement, la ville la plus à l'ouest est celle à l'ouest de la ville où tu te trouves, et la ville la plus à l'est est celle à l'est de ta ville :) Si tu cherches sur une carte géographique du monde comme on est habitués de voir, c'est une bonne question. Je t'invite à fouiner sur une carte du monde pour t'amuser! :D
J'espère que ça répond à ta question!
Bonne journée :)
Ariane
Re: Question
Allo AnanasKappa8153,
Merci pour ta question!
Le mot dépréciatif veut dire péjoratif. Ce n'est pas un adjectif très positif. Un personnage dépréciatif est quelqu'un de négatif, qui n'apprécie rien et qui est méprisant!
J'espère t'avoir aidé!
Lea-Kim
Re: Question
Bonjour BernacheCocasse!
Merci de ton conseil!
Il y a plusieurs autres jeux de français!
En voici quelques-uns:
- Potager en péril (Les classes de mots)
- Grimoire (La compréhension en lecture)
- Magimot (L'orthographe des mots)
- PP l'archer (Les participes passés)
- Gommophone (Les homophones)
- Conjugo (La conjugaison des verbes)
- Exercice de vocabulaire (L'orthographe des mots)
Tu peux donc en choisir un qui correspond à la matière de français que tu veux réviser!
Pour accéder aux jeux de français clique sur le lien ci-dessous!
Amuse-toi bien!
LapinRose4504
Re: Question
Il faut d’abord que tu mette tes deux fraction sur le même dénominateur (si tu veux les additionner ou les soustraires) si tu veux les multiplier ou les diviser je vais t’expliquer plus bas comment faire.
si tu veux additionner: 3/15 + 5/30
Maintenant tes deux fraction sont sur le même dénominateur c’est à dire 6/30 + 5/30
La réponse de 3/15 + 5/30 = 11/30 (puisqu’on ne peut pas la réduire plus)
Pour multiplier une fraction c’est très facile on fait juste multiplier les deux numérateurs et les deux dénominateurs comme ceci:
Et pour finir, la division d’une fraction par un autre fraction. Pour diviser une fraction par un autre fraction on doit seulement inverser le dénominateur avec le numérateur de la deuxième fraction et notre division se transforme en multiplication comme ceci:
Ainsi, 4/6 divisé par 3/8 se transforme en 4/6 x 8/3 ce qui donne 32/18. Quand on réduis cette fraction, ça nous donne 16/9
j’espère que ça t’aidera 😁








