Best Of
Re: Question
Bonjour PamplemoussePacifique,
Merci pour ta question!
L'énergie thermique transférée à un autre corps correspond à la chaleur. La chaleur se calcule avec la formule suivante:
Tu trouveras plusieurs exemples de calculs de chaleur juste ici:
N'hésite pas si tu as encore besoin d'aide:)
Kylan
Re: Question
Bonjour PamplemousseBrave,
Merci pour ta question!
Il s'agit d'une drôle de question! En théorie, dans un contenant fermé, les levures, en consommant du sucre, produisent de l'alcool. Or, cet alcool finit par tuer les levures.
Cependant, dans un espace infini, je vois difficilement comment l'alcool pourrait tuer toutes les levures, puisqu'il y a une quantité infinie de sucre et d'eau, et donc de levures qui peuvent se reproduire à l'infini.
N'hésite pas si tu as d'autres questions:)
Kylan
Re: Question
Pour résoudre cette question, il faut faire une division. Puisqu'il y a 10 personnes et 80 bonbons il faudrait faire 80 diviser par 10. Une fois que tu aurais fini ce calcul tu aurais la réponse et tu devrais la mettre dans une phrase compléte.
Re: Question
Bonjour BaryumRose9419, merci pour ta question !
Tu as vraiment bien compris ! Effectivement, les résistors vont utiliser l'énergie électrique des électrons. Contrairement aux ampoules, les résistors vont surtout consommer l'énergie en la transformant en énergie thermique. Donc les résistors, ça chauffe ! :)
C'est grâce à eux qu'on a nos chauffages, ou nos plaques de cuissons et nos grilles-pains.
Chaque élément qui utilise de l'énergie électrique dans le circuit est appelé un "élément résistant". Donc une ampoule, un résistor, un haut-parleur, un moteur électrique sont tous des éléments résistants qui convertissent l'énergie électrique en une autre sorte d'énergie.
Voici notre fiche sur les résistors si tu veux en savoir plus : https://www.alloprof.qc.ca/fr/eleves/bv/sciences/les-resistors-et-leur-code-de-couleurs-s1533
N'hésite pas à nous écrire si tu as d'autres questions !
Re: Question
Salut,
Merci d'utiliser la zone d'entraide.
En fait, c'est différent. Dans la question 1, on te demande de dégager des différences dans l'organisation du travail entre une production artisanale et une production industrielle.
Pour répondre à cette question, tu dois bien comprendre les changements qui ont eu lieu. Par exemple, dans une industrie, il y a une grande division du travail. Avec cette façon de travailler, chaque ouvrier accomplit une petite tâche simple dans la fabrication de biens ou de marchandises. Cette organisation du travail est différente du travail de l'artisan, qui fabrique un objet du début à la fin.
Ces fiches pourront te renseigner davantage sur l'organisation du travail (les heures travaillées, les lieux, etc.):
De plus, je te suggère de bien lire ton dossier documentaire pour trouver des éléments de changement entre ces deux moments.
J'espère t'avoir aidé,
À bientôt,
Karen
Re: Question
Bonjour ElfeAdorable7288
Tu as la bonne réponse !
De rien d'avance!!!
FraiseFantastique1207
Re: Question
Salut!
Ça nous fait plaisir de pouvoir t'aider! Je suis contente que nos services te soient utiles! :) N'hésite pas à revenir poser d'autres questions, nous sommes là pour ça!
À bientôt!
Re: Question
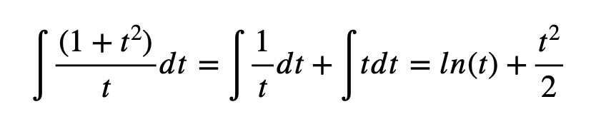
Ça compliquerait les choses inutilement car alors tu aurais
si u = 1+t² et
comme t² = u - 1 => t = ± √(u-1)
(1+t^2)/ t -> u/± √(u-1)
Je procéderait ainsi:
Re: Question
Bonjour,
Si tu observes bien ton image, tu peux obtenir l'apothème de ton dodécagone.
Regarde, 23.5 - 8.14 = 15.36 et 15.36 représente cela :
Comme tu peux le vois, 15.36 représente alors 4 fois la mesure de ton apothème. Donc, a = 15.36/4 = 3.84cm.
Bonne journée :)



