Best Of
Re: Question
Salut,
Merci pour ta question!
Malheureusement, il n'y a pas vraiment de truc pour retenir les verbes irréguliers en anglais... Il faut simplement les apprendre par coeur. Heureusement, le site d'Alloprof a un jeu pour le faire :
Cette fiche du site d'Alloprof rassemble un grand nombre de verbes irréguliers :
N'hésite pas si tu as d'autres questions!
Karen
Re: Question
Salut,
Merci d'utiliser la zone d'entraide.
En fait, dans cette publicité, on parle de la possibilité de mourir si l'attention de l'automobiliste est sur le cellulaire. Il s'agit donc d'un ton dramatique, puisqu'il évoque la pire situation qui peut arriver: la mort.
Elle vise à susciter une émotion forte chez le spectateur, en jouant sur la peur et la gravité des conséquences d'un comportement dangereux.
J'espère t'avoir aidé,
Karen
Re: Question
Bonjour!
Dans cet exercice, on retrouve des adjectifs qualifiants ainsi que des participes passés. Tu dois arriver à les repérer dans les phrases.
Par exemple, pour le numéro 1, on retrouve deux adjectifs : « magnifique » et « odorantes ».
Si tu as d'autres questions, n'hésite pas à nous réécrire. Nous te répondrons avec plaisir!
Laurie :)
Re: Question
Salut FraiseRose4867 😁
Merci pour ta question!
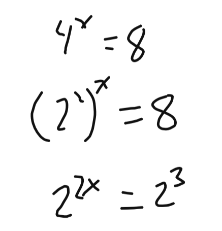
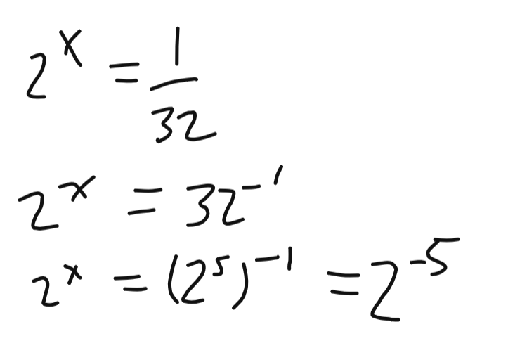
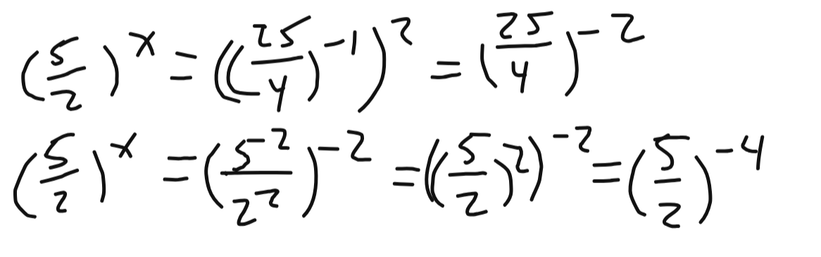
Pour le e) :
Posons les exposants en égalité.
Pour le d) :
Le e) est bon à partir d'ici, tu avais bien commencé!
Voici les quelques manipulations qu'il manquait.
Je te laisse essayer avec le f)!
Écris-nous si tu as d'autres questions. 😊
À bientôt sur la Zone d'entraide! 😎
Re: Question
Salut AvocatEnthousiaste9939 😁
Merci pour ta question!
Il faut se fier aux lois de Kirchhoff. Tu dois d'abord déterminer si le circuit est en parallèle ou en série, puis utiliser les bonnes formules du tableau suivant.
Pour plus d'exemples et de vidéos, c'est par ici.
Dis-nous comment ça avance. 😊
À bientôt sur la Zone d'entraide! 😎
Re: Question
Salut!
Alloprof est là pour t’aider avec tes apprentissages scolaires. Si tu cherches des conseils pour Minecraft, il existe d’autres sites spécialisés ou forums de discussion où tu pourras poser tes questions. 😊
On te souhaite bonne chance pour la suite!
Andréanne pour AlloProf et AlloProf Parents! :)
Re: Question
Salut PerleJaune8387 😁
Merci pour ta question!
C'est super que tu aimes les services! On est là pour toi.
L'apogée veut dire à son maximum. Dans ce cas, cela voudrait signifier que l'Empire romain était à son maximum de développement, de sa richesse, etc., à sa plus belle forme en d'autres mots.
Tu peux utiliser les renseignements de cette fiche pour compléter ou bonifier ta feuille de notes au besoin.
Écris-nous si tu as d'autres questions. 😊
À bientôt sur la Zone d'entraide! 😎
Re: Question
Bonjour PerleJaune8387,
Merci d’utiliser la zone d’entraide de Alloprof
L'Empire romain a atteint son apogée au cours du IIe siècle de notre ère, sous le règne des empereurs Trajan (98-117) et Hadrien (117-138). C'est pendant cette période que l'Empire romain a connu sa plus grande extension territoriale, s'étendant de la Bretagne (aujourd'hui la Grande-Bretagne) à l'Irak actuel, et du nord de l'Afrique à l'Écosse.
Utilise cela pour plus dinfo.
Ne lâche pas
Re: Question
Bonjour!
Merci pour ce beau message s'adressant aux personnes qui célèbrent le Ramadan! :D
Laurie :)





