Best Of
Re: Question
Salut!
Je te conseille de jeter un coup d'oeil à cet arbre de quadrilatère :
Tu pourras ainsi identifier le losange qui possède des diagonales isométriques, ainsi que le parallélogramme qui possède des diagonales isométriques ;)
Si tu as de la difficulté à trouver les réponses, reviens nous voir! :)
Re: Question
Bonjour PandaOrange,
Merci pour ta question!
C'est justement à causes des incertitudes! Lorsqu'on tente d'obtenir en pratique une mesure, elle sera souvent un peu différente de la valeur théorique, puisque les méthodes et les instruments qu'on utilise sont imparfaits.
Par exemple, il est possible que la balance utilisée ne soit pas parfaitement ajustée. Il est également possible que le volume mesuré (par exemple à l'aide d'un cylindre gradué si l'objet que tu mesures a été plongé dans l'eau) ne corresponde pas exactement au volume réel. Ça pourrait notamment être le cas si l'approximation du volume à l'aide du ménisque n'a pas été bien réalisée.
En outre, les instruments ont tous une certaine précision, qui implique forcément un certain degré d'incertitude sur la mesure. Pour plus d'informations à ce sujet:
N'hésite pas si tu as encore besoin d'aide:)
Kylan
Re: Question
Salut FraiseKappa3158 !
Merci de faire appel à nos services. :)
La diffusion de la matière est un processus par lequel les particules d’un soluté ont tendance à se déplacer d’un milieu où leur concentration est élevée vers un milieu où la concentration est faible. Ce déplacement s’effectue afin que les concentrations dans les deux milieux soient à l’équilibre, c'est-à-dire à la même concentration.
Ici, le soluté peut être composé d'eau.
Le phénomène d’osmose est un processus par lequel les particules d'eau (ou d'un autre solvant) ont tendance à se déplacer d’un milieu où la concentration en soluté est faible vers un milieu où la concentration en soluté est élevée. Ce déplacement s’effectue afin que les concentrations dans les deux milieux soient à équilibre, c'est-à-dire à la même concentration.
Tu as raison de dire que lorsqu'on parle de particules d'eau qui se déplacent, on parle d'osmose. Cependant, ce n'est pas nécessairement parce qu'il y a de l'eau impliqué que c'est de l'osmose. Par exemple, comme mentionné plus haut, le soluté de la diffusion peut-être composé d'eau.
Voici la fiche dans laquelle j'ai trouvé toute l'information :
J'espère que cela répond à ta question ! :)
N'hésite pas à repasser si tu as d'autres questions.
À bientôt. :)
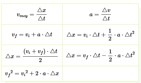
Re: Question
Salut!
Je ne suis pas sûre de bien comprendre ta question. Tu dois utiliser les équations du MRUA pour analyser le mouvement d'un projectile. Les voici :
Tu dois donc t'assurer de décomposer les équations selon les axes x et y. Selon le contexte, tu dois isoler la variable que tu recherches dans l'équation utilisée. Par exemple, si tu recherches la distance parcourue, tu dois isoler la variable Δx.
Pour plus de détails, je te conseille de jeter un coup d'œil à cette fiche : Le mouvement de projectile | Secondaire | Alloprof
J'espère que cela t'aide! Sinon, n'hésite pas à nous réécrire en nous fournissant un peu plus de détails :)
PS Si tu as un exercice en particulier qui te pose problème, tu peux nous l'envoyer en photo, ça nous fera plaisir de t'aider!
Re: Question
Salut TopazeChouette8400!
Merci pour ta question. :)
Nous avons justement une fiche explicative portant sur le Canada et la Seconde Guerre mondiale qui aborde des mesures prises par le gouvernement pour solliciter l'effort de guerre! L'utilisation de mots-clés dans la barre de recherche du site d'Alloprof peut te donner accès à des fiches qui contiennent les réponses à tes questions. :D
Un exemple de mesure prise retrouvée dans cette fiche est la loi sur les mesures de guerre. Elle permettra, entre autres, de contrôler les médias afin de faire de la censure et de la propagande. Ces mesures sont mises en place afin de limiter les communications pouvant nuire à la victoire des Alliés, mais également pour encourager l'enrôlement de soldats et les efforts de guerre. Par exemple, les journaux sont surveillés et censurés afin d'éviter que des informations sur les stratégies militaires ne soient divulguées et des affiches pour l'enrôlement sont publiées.
En espérant que cela répond à ta question. Si tu en as d'autres, n'hésite surtout pas à nous réécrire, il nous fera plaisir de t'aider à nouveau!
En cette semaine de la persévérance scolaire, je tiens à te féliciter pour tes efforts à l’école, ce n'est pas toujours facile, mais ta persévérance fait toute la différence 🎉💫. Continue ton beau travail!
À bientôt,
Océane :)
Re: Question
Salut QuartzComique3516 😁
Merci pour ta question!
En cette semaine de la persévérance scolaire, je tiens à te féliciter pour tes efforts à l’école, ce n'est pas toujours facile, mais ta persévérance fait toute la différence 🎉💫. Continue ton beau travail!
Le complément direct du verbe est souvent placé tout de suite après le verbe sans être introduit par une préposition (il est donc placé directement après le verbe).
En voici un exemple.
Pour en apprendre plus et compléter quelques exercices, c'est par ici.
Parce que derrière chaque accomplissement, il y a de la persévérance, nous sommes extrêmement fiers et fières que tant d’élèves choisissent d’affronter leurs difficultés scolaires en utilisant nos ressources.
Écris-nous si tu as d'autres questions. 😊
À bientôt sur la Zone d'entraide! 😎
Re: Question
Salut DiamantResponsable8773,
Comme tu le sais sans doute, une adaptation physique est la transformation de l'apparence ou d'un organe d'un animal ou d'une plante pour favoriser sa survie et sa reproduction.
Dans le cas des graines du pissenlit, il faut se demander ce qui arriverait si toutes les graines tombaient à la même place. Il y a de bonnes chances que les nouveaux pissenlits compétitionnent entre eux et avec la plante mère pour les ressources (minéraux dans la tête, lumière du Soleil, etc.). Afin d'éviter ce probème, une adaptation qui a été observée est l'utilisation du vent comme méthode de transportation. Pour ce faire, les graines doivent être légères.
J'espère que ça répondait à ta question :)
Pour plus d'information, je te laisse la fiche sur les adaptations physiques et comportementales des animaux et des plantes :
https://www.alloprof.qc.ca/fr/eleves/bv/sciences/les-adaptations-physiques-et-comportementales-s1215
Aux plaisirs
Re: Question
Salut FraiseAdorable5247 😁
Merci pour ta question!
En cette semaine de la persévérance scolaire, je tiens à te féliciter pour tes efforts à l’école, ce n'est pas toujours facile, mais ta persévérance fait toute la différence 🎉💫. Continue ton beau travail!
Tu peux choisir les graduations qui te plaisent pour construire un graphique.
Deux des zéros sont à -3π/5 et à 12π/5, alors, tu pourrais utiliser des pas de π/5 pour le f).
Parce que derrière chaque accomplissement, il y a de la persévérance, nous sommes extrêmement fiers et fières que tant d’élèves choisissent d’affronter leurs difficultés scolaires en utilisant nos ressources.
Écris-nous si tu as d'autres questions. 😊
À bientôt sur la Zone d'entraide! 😎
Re: Question
Hi PeacefulPumpkin8091,
In many physics textbooks, Δx is commonly used to represent displacement, especially in one-dimensional motion along the horizontal axis. However, Δs is a more general notation for displacement, often used when movement occurs in multiple dimensions or when referring to the magnitude of displacement rather than just a change along the x-axis.
Some textbooks might use Δx instead of Δs because they assume motion is along the x-axis by default, especially when introducing kinematics. This can create confusion if position is typically represented on the y-axis in your textbook. However, it's mostly a notational choice, and both symbols can mean the same thing depending on the context.
Hope it clarifies your question :)
Sandrine





