Best Of
Re: Question
Salut!
Pour calculer le \(33\frac{1}{3}\)% de 99, tu dois multiplier les deux nombres, comme ceci :
$$ 0,333 \times 99 = 33$$
Tu peux également utiliser une proportion, comme ceci :
$$ \frac{1}{3}=\frac{?}{99} $$
Puis effectuer un produit croisé :
$$ 1 \times 99 \div 3 = 33$$
Je t'invite à consulter la fiche suivante : Le « tant pour cent » et le « cent pour cent » | Secondaire | Alloprof
Et à revenir nous voir si tu as d'autres questions! :)
Re: Question
Salut OrRose1750 !
Merci de faire appel à nos services. :)
« Les pouvoirs fiscaux : Ayant très peu de revenus, les gouvernements provinciaux demandent davantage d’argent du gouvernement fédéral. Cette situation s'explique notamment par leurs faibles pouvoirs fiscaux, c'est-à-dire leur capacité à prélever des taxes et des impôts. Ce besoin d'argent est dû aux nombreux travaux publics désirés par les provinces afin de se moderniser en pleine ère industrielle. »
J'ai trouvé cette explication dans cette fiche :
N'hésite pas à repasser si tu as besoin ou si tu as d'autres questions. :)
À bientôt ! :)
Re: Question
Hello, OnyxJaune8500!
A proper noun is used to name specific people, places, and things. It is recognizable by the capital letter at the beginning of the word.
Examples of proper nouns are the football player Messi, the city of Paris, and the famous sports movie Moneyball.
A common noun also refers to people, places, and things. However, it is not specific and does not start with a capital letter.
Instances of common nouns are a goalie, a park, and a helmet.
Do not hesitate if you have other questions!
Re: Question
Salut!
Voici les détails des calculs entre ces deux lignes :
On peut commencer par placer les termes semblables du même côté de l'équation :
$$x=\frac{4x}{5}+1$$
$$x-\frac{4x}{5}=\frac{4x}{5}+1-\frac{4x}{5}$$
$$x-\frac{4x}{5}=1$$
On peut réécrire l'équation pour mieux voir les coefficients des variables :
$$1x-\frac{4}{5}x=1$$
Ensuite, on doit soustraire ces coefficients :
$$(1-\frac{4}{5})x=1$$
$$(\frac{5}{5}-\frac{4}{5})x=1$$
$$\frac{5-4}{5}x=1$$
$$\frac{1}{5}x=1$$
Finalement, on multiplie chaque côté par le dénominateur pour éliminer la fraction :
$$\frac{1}{5}x \times 5=1\times 5 $$
$$x=5 $$
Voilà! :D
Re: Question
Bonjour CielAdorable1327, merci pour ta question !
Le mouvement de convection, c'est un mouvement circulaire que le sol fait dans la partie molle du manteau supérieur à cause des variations de température
C'est ce mouvement rotatif qui cause le déplacement des plaques tectoniques car en remontant, cela vient repousser les deux plaques.
Si tu veux en savoir plus, je te recommande notre fiche : https://www.alloprof.qc.ca/fr/eleves/bv/sciences/les-plaques-tectoniques-s1375
N'hésite pas à nous écrire si tu as d'autres questions !
Re: Question
Bonjour CielAdorable1327,
Merci pour ta question et d'utiliser la zone d'entraide !!
D'abord, le mouvement de convection est un mouvement en rotation en dessous des plaques tectoniques.
Je t'invite à consulter ce site, il y a plusieurs informations intéressantes et des images pour bien comprendre le fonctionnement du mouvement de convection :
J'espère que cela répond à ta question.
Ne lâche pas, bon travail !!
N'hésite pas à nous réécrire si tu as d'autres questions. Nous sommes toujours là pour t'aider :)
DiamantRose1120
Re: Question
Bonjour CielAdorable1327!
Merci d'utiliser la Zone d'entraide!
Le mouvement de convection sous les plaques tectoniques est un processus de montée et de descente du manteau terrestre causé par la chaleur du noyau.
Bonne étude!
RubisFiable7243:)
Re: Question
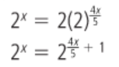
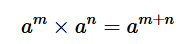
Salut!
Pour passer d'une ligne à l'autre ici :
On a utilisé cette loi des exposants :
En d'autres mots, on a ceci :
$$2^x=2^1\times (2)^{\frac{4x}{5}}$$
$$2^x=2^{1+\frac{4x}{5}}$$
Puisqu'on multiplie les facteurs 2, on additionne leur exposant.
Si tu as d'autres questions, n'hésite pas à nous réécrire! :)




