Best Of
Question
Bonjour,
Pouvez-vous essayer de faire des nouveau jeux svp, car je m'ennui j'ai tout complété !
PerleCharismatique4259 :D
P-S J'aime aller sur alloprof quand je suis triste..
P-P-S J'ai vraiment besoin de me changer les idées je suis en dépression...
Re: Question
Moi aussi j’aimerais garder la version #1 mais le nouveau à un mode devoir c’est une façon peut être pas meilleur mais plus efficace
Re: Question
Salut !
Selon l'ONU (organisation des nations unies), la population de la ville de Rome s'élevait à 2.76 Millions d'habitants en 2021.
Voici la source à laquelle j'ai trouvé cette information, l'ONU est une source fiable normalement pour faire des recherches :
J'espère que cela t'aide.
N'hésite pas à revenir nous voir au besoin ! :)
À bientôt !
Re: Question
Salut MinotaureAlpha1741 !
Merci pour ta question. :)
Le complément direct (CD) du verbe est une fonction qui complète le verbe. Il fait partie du groupe du verbe (GV).
Voici une fiche sur le complément direct :
Le complément indirect (CI) du verbe est une fonction qui complète le verbe. Il fait partie du groupe du verbe (GV).
Voici une fiche sur le complément indirect :
La différence entre les deux est que le complément indirect comprend une préposition (à ou de, par exemple).
J'espère que cela répond à ta question. N'hésite pas à revenir nous voir si tu as besoin ! :)
À bientôt !
Re: Question
Salut QuetzalRose9018 😁
Merci pour ta question!
Voici des définitions et exemples pour chacun des types de biais mentionnés (Amadium, 2024).
Biais de Halo
Définition : Appelé également effet de contamination ou encore effet de notoriété, il correspond à la tendance a fonder une impression à partir de caractéristiques ou de traits positifs ou négatifs prédominants d’une personne ou d’un produit.
Exemple : Le fait d’apprécier ou en tout cas d’avoir une bonne opinion d’une personne parce qu’elle appartient à un groupe.
Biais d'ancrage
Définition : Ce biais cognitif pousse les personnes à prendre une décision basée sur la première impression. La première information constitue un point d’ancrage qui conditionne les suivantes.
Exemple : La personne qui arrive à un entretien en retard aura de fortes chances qu’on lui colle l’étiquette du retardataire.
Biais d'information
Définition : La tendance à vouloir chercher toujours plus d’informations afin de prendre la meilleure décision possible.
Exemple : Les personnes qui passent leur temps à se former sans jamais passer à l’action.
Biais désirabilité sociale
Définition : Ce biais correspond à la tendance à se mettre en avant en surévaluant ses caractéristiques ou ses comportements afin d’augmenter l’acceptation ou la perception sociale. En d’autres termes, c’est la volonté de se rendre socialement souhaitable ou désirable tout en sous-déclarant ses comportements ou ses caractéristiques socialement embêtants ou indésirables.
Exemple : Les personnes qui ont l’habitude de mentir sur leurs connaissances quand on les questionne par peur d’être considérées comme des personnes non instruites ou non cultivées.
Écris-nous si tu as d'autres questions. 😊
À bientôt sur la Zone d'entraide! 😎
Re: Question
Rebonjour! :)
La plupart des profs sur la zone d'entraide quittent à partir de 21h. C'est pourquoi je n'ai pas pu te répondre plus tôt. La prochaine fois, peux-tu essayer de nous écrire un peu d'avance svp?
Par contre, je suis certaine que tu ne couleras pas ton examen! :) Tu n'as qu'une mini erreur; au a), me remplace je.
C'est tout! Tu peux te faire confiance! Je suis certaine que ton examen s'est bien passé! :)
Sarah G
Re: Question
Bonsoir! :)
Alors, comme l'ont si bien dit tes camarades, une fraction irréductible, c'est une fraction dont le numérateur et le dénominateur ne peuvent pas être réduit.
Par exemple, \[\frac{5}{10} = \frac{1}{2}\]
- 5/10 peut être réduit à 1/2.
- En effet, le numérateur et le dénominateur ont des diviseurs communs ; on peut les diviser par 5.
- En divisant 5 par 5, et 10 par 5, on obtient 1/2.
Au contraire, \frac{1}{2}\] ne peut pas être divisé.
Pour en savoir plus, c'est ici. Tu trouveras une vidéo explicative sur notre fiche. :) https://www.alloprof.qc.ca/fr/eleves/bv/mathematiques/les-fractions-irreductibles-primaire-m1605
Pour multiplier des fractions avec un nombre entier, tu peux mettre ton nombre entier sur le dénominateur 1.
ex. : \[\frac{1}{4} \times 3\]
Ici, tu mets ton 3 sur 1.
\[\frac{1}{4} \times \frac{3}{1}\]
Par la suite, tu multiplies tes numérateurs ensemble et tes dénominateurs ensemble.
1x3 = 3
1x4 = 4
Résultat : \[\frac{3}{4}\]
Voilà! :) Voici notre fiche à ce sujet: https://www.alloprof.qc.ca/fr/eleves/bv/mathematiques/multiplier-une-fraction-par-un-nombre-naturel-primaire-m1607
J'espère t'avoir aidé! Reviens-nous avec tes questions! :)
Sarah G
Re: Question
Salut SoleilSage6308!
Merci pour ta question. :)
En fait, les jeux d'Alloprof se jouent sur l'ordinateur et sur la tablette. Ils ne peuvent pas se jouer sur le téléphone, car les appareils mobiles ne peuvent pas prendre en charge ce type d'applications web.
En espérant que cela répond à ta question. Si tu en as d'autres, n'hésite surtout pas à nous réécrire, il nous fera plaisir de t'aider à nouveau!
À bientôt,
Océane :)
Re: Question
Salut LionArtistique4253 😁
Merci pour ta question!
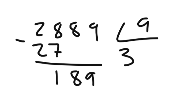
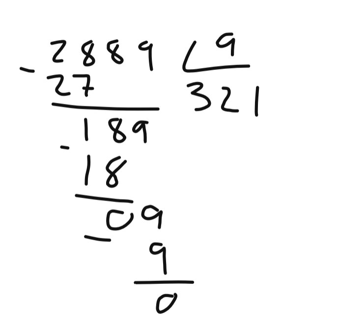
On va faire un exemple ensemble.
D'abord, on se demande combien de fois 9 rentre dans 2, vu que c'est le premier chiffre à gauche. Il ne rentre aucune fois, alors, on prend le 8 avec le 2, ça donne 28, les deux premiers chiffres. Ensuite, on se demande combien de fois 9 rentre dans 28, 3 fois seulement, ça donne 27 (3x9).
On fait alors la soustraction de 27 à 28, ce qui donne 1, puis on descend nos autres chiffres à côté.
Combien de fois 9 rentre dans 18, deux fois. On inscrit 2 en haut.
Combien de fois 9 rentre dans 9, une fois. On inscrit 1 en haut.
Le résultat est donc 321.
Tu peux réviser la technique ici.
Écris-nous si tu as d'autres questions. 😊
À bientôt sur la Zone d'entraide! 😎
Re: Question
Salut HippocampeAgile9174 😁
Merci pour ta question!
« Un fonds négocié en Bourse (FNB) est un fonds d'investissement dont les titres sont négociés comme des actions en bourse. » (Coles, 2024)
Cet article informatif décrit les différentes sortes de FNB.
Sache, toutefois, qu'au Canada, « les mineurs ont besoin d’une autorisation parentale pour ouvrir un compte d’investissement. Cela signifie que tu dois avoir 18 ans pour acheter des FNB. » (Coles, 2024)
Pour consulter des conseils par rapport à l'investissement, c'est par ici.
Écris-nous si tu as d'autres questions. 😊
À bientôt sur la Zone d'entraide! 😎


