Skip to content

Help Zone

Student Question

Secondary IV • 2yr.

Un rectagne a les dimensions (x+10) )2x-3) détermine la valeur x qui permet d'obteir une aire de 54m²

Mathematics
avatar
avatar

{t c="richEditor.description.title"} {t c="richEditor.description.paragraphMenu"} {t c="richEditor.description.inlineMenu"} {t c="richEditor.description.embed"}

Explanations (1)

  • Explanation from Alloprof

    Explanation from Alloprof

    This Explanation was submitted by a member of the Alloprof team.

    Options
    Team Alloprof • 2yr.

    Bonjour à toi!

    Merci pour ta question, elle est très pertinente :)

    Tout d'abord, on doit trouver l'expression algébrique qui représente l'aire du rectangle. Pour ce faire, on doit multiplier les côtés:

    A = (x+10) (2x-3)

    A = 2x^2 + 17x - 30

    Pour savoir comment multiplier un polynôme par un polynôme, je t'invite à aller consulter la fiche suivante:

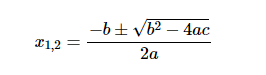
    Ensuite, tu devras isoler le x dans l'expression algébrique. La façon dont l'expression algébrique est écrite représente une fonction quadratique. Tu peux donc replacer la formule quadratique sous cette forme:

    image.png

    Ensuite, tu pourras remplacer le f(x) par 54 et trouver les mesures qui permettraient d'obtenir une aire de 54m^2.

    Tu obtiendras deux réponses, c'est normal!

    Pour en apprendre plus sur cette démarche, c'est par ici:

    J'espère que ma réponse t'aura aidé! Bonne étude :D

    Ariane

Ask a question