Ce contenu est protégé par le droit d'auteur. Toute reproduction à l'extérieur des forums Alloprof est interdite et pourra être considérée comme une violation du droit d'auteur.
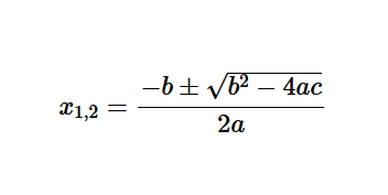
Il te reste à utiliser la formule quadratique pour trouver les valeurs de x possibles.
Ce contenu est protégé par le droit d'auteur. Toute reproduction à l'extérieur des forums Alloprof est interdite et pourra être considérée comme une violation du droit d'auteur.
Ce contenu est protégé par le droit d'auteur. Toute reproduction à l'extérieur des forums Alloprof est interdite et pourra être considérée comme une violation du droit d'auteur.
Explanation from Alloprof
This Explanation was submitted by a member of the Alloprof team.
Salut 😁
Merci pour la photo!
Il te reste à utiliser la formule quadratique pour trouver les valeurs de x possibles.
Ce contenu est protégé par le droit d'auteur. Toute reproduction à l'extérieur des forums Alloprof est interdite et pourra être considérée comme une violation du droit d'auteur.
Ce contenu est protégé par le droit d'auteur. Toute reproduction à l'extérieur des forums Alloprof est interdite et pourra être considérée comme une violation du droit d'auteur.
Pour plus d'exemples, c'est par ici.
N'hésite pas si tu as d'autres questions 🥴 À bientôt 😎