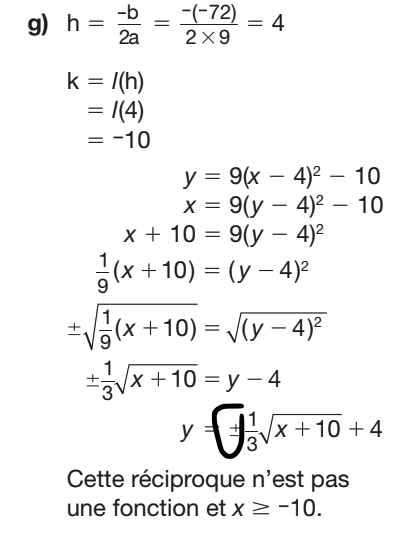
Bonjour, j'espère que vous allez bien, je ne comprend pas à ce numéro pourquoi il y a le symbole ± devant le 2 ainsi que dans le numéro ou il y a ce même symbole, mais devant le 3. Le numéro demande d'établir la réciproque de chacune des fonction. Je n'arrive pas à comprendre pourquoi. Pouvez-vous m'aider svp?? Merci à l'avance!!
Ce contenu est protégé par le droit d'auteur. Toute reproduction à l'extérieur des forums Alloprof est interdite et pourra être considérée comme une violation du droit d'auteur.
Ce contenu est protégé par le droit d'auteur. Toute reproduction à l'extérieur des forums Alloprof est interdite et pourra être considérée comme une violation du droit d'auteur.
Ce contenu est protégé par le droit d'auteur. Toute reproduction à l'extérieur des forums Alloprof est interdite et pourra être considérée comme une violation du droit d'auteur.
Ce contenu est protégé par le droit d'auteur. Toute reproduction à l'extérieur des forums Alloprof est interdite et pourra être considérée comme une violation du droit d'auteur.
Explanation from Alloprof
This Explanation was submitted by a member of the Alloprof team.
Salut !
Le symbole \(\pm\) est là pour démontrer que la racine donne deux réponses possibles.
$$ \sqrt{4}=\pm2 $$
En effet, \(-2\times-2=4\) et \(2\times2=4\). Pour le g), le corrigé transforme la fonction d'abord sous la forme canonique.
J'espère que cela ait pu t'aider et si tu as d'autres questions, n'hésite pas !
Bonne journée !