Secondary III • 1yr.
Bonjour, je n’arrive pas a trouver le taux de variation (a) dans le problème au numéro 6
Pourriez-vous m’aider?
Merci !
Bonjour, je n’arrive pas a trouver le taux de variation (a) dans le problème au numéro 6
Pourriez-vous m’aider?
Merci !
Explanation from Alloprof
This Explanation was submitted by a member of the Alloprof team.
Salut!
On te donne deux points : (0, 40), la position de l'oiseau au départ, et (3,3 ; -15), la position de l'oiseau après 3,3 secondes (qui est à 15m sous le niveau de la mer).
Ce contenu est protégé par le droit d'auteur. Toute reproduction à l'extérieur des forums Alloprof est interdite et pourra être considérée comme une violation du droit d'auteur.
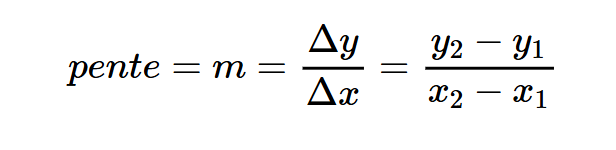
Pour trouver la pente de cette droite, tu dois utiliser la formule mentionnée par DiamantAdorable6484.
Ce contenu est protégé par le droit d'auteur. Toute reproduction à l'extérieur des forums Alloprof est interdite et pourra être considérée comme une violation du droit d'auteur.
Voici une fiche qui pourrait t'être utile : La pente d'une droite | Secondaire | Alloprof
Si tu as d'autres questions, n'hésite pas à nous réécrire! :)
Salut !
Pour ce numéro, il faudra utiliser cette formule (C'est une des méthodes qu'il y a) :
Ce contenu est protégé par le droit d'auteur. Toute reproduction à l'extérieur des forums Alloprof est interdite et pourra être considérée comme une violation du droit d'auteur.
Ce contenu est protégé par le droit d'auteur. Toute reproduction à l'extérieur des forums Alloprof est interdite et pourra être considérée comme une violation du droit d'auteur.
Pour commencer le calcul, utilisons ses informations :
Ce contenu est protégé par le droit d'auteur. Toute reproduction à l'extérieur des forums Alloprof est interdite et pourra être considérée comme une violation du droit d'auteur.
qui donne les points (0,40) et (3,3 ; 15)
*(0,40) est l'ordonnée à l'origine comme tu as pu le constater dans ton graphique
Ensuite, tu prends ces points est tu les met dans la formule pour les calculer, ce qui donnera le taux de variation
Voici un exemple d'Alloprof :
Ce contenu est protégé par le droit d'auteur. Toute reproduction à l'extérieur des forums Alloprof est interdite et pourra être considérée comme une violation du droit d'auteur.
Ce contenu est protégé par le droit d'auteur. Toute reproduction à l'extérieur des forums Alloprof est interdite et pourra être considérée comme une violation du droit d'auteur.
Ce contenu est protégé par le droit d'auteur. Toute reproduction à l'extérieur des forums Alloprof est interdite et pourra être considérée comme une violation du droit d'auteur.
Voilà ! J'espère t'avoir aidé :)