Populaires
Re : Question
Salut RorqualChouette1650! 🚤
Les activités humaines peuvent augmenter l’érosion. L’érosion, c’est quand l’eau ou le vent enlève et transporte la terre ou les roches. Par exemple, quand on coupe des arbres, les racines ne retiennent plus le sol et la pluie peut l’emporter plus facilement. La construction de routes et de maisons enlève aussi la végétation qui protégeait le sol.
Les vagues de bateau peuvent aussi causer de l’érosion. Quand des bateaux passent souvent près des rives, les vagues frappent les berges et enlèvent peu à peu la terre. Avec le temps, la rive peut reculer.
Pour limiter ces impacts, on peut planter des arbres et des plantes pour garder le sol en place. On peut aussi protéger les rives avec de la végétation et limiter la vitesse des bateaux près des berges.
J’espère que la réponse t’a aidé! Ne te gêne pas si tu as d’autres questions, ça va me faire plaisir d’y répondre! 😊
PoutineOrange5768Â
Re : Question
Bonsoir GeaiEnthousiaste8526,
Merci d'utiliser la zone d'entraide,
Les longues chaînes de montagnes peuvent se former par deux grands processus tectoniques. Le premier est la collision de deux plaques continentales. Lorsque deux plaques se rencontrent, elles se compriment, se plissent et s’épaississent, ce qui entraîne la formation de montagnes très élevées. C’est ainsi que se sont formées les Himalaya, à la suite de la collision entre la plaque indienne et la plaque eurasienne.
Le deuxième processus est la subduction. Dans ce cas, une plaque océanique, plus dense, glisse sous une plaque continentale. Cette pression provoque un soulèvement de la croûte terrestre et la formation d’une chaîne de montagnes le long du continent. C’est le cas des Andes, situées sur la côte ouest de l’Amérique du Sud.
Dans le cas du drapeau situé au Chili, le phénomène responsable de son élévation est la subduction. La plaque océanique Nazca s’enfonce sous la plaque sud-américaine, ce qui soulève progressivement le territoire. L’élévation de 2 cm par année s’explique donc par cette activité tectonique continue.
Ne lâche pas, bonne étude, bon travail, bon succès et n'hésite pas à revenir nous voir si tu as d'autres questions!
LefraniResponsable4446
Re : Question
Bonjour PicZen9869,
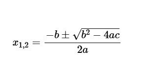
Merci beaucoup pour ta question! Ici, si on reformule, on te demande de trouver les valeurs de x qui vont nous permettre d'obtenir un y de 3. Pour y arriver, tu devras donc mettre ton équation égale à 3. Comme ceci :
3 = 2x²-8x+6
Ensuite, pour résoudre une formule polynomiale de second degré, tu dois utiliser la formule quadratique. Cependant, pour utiliser cette formule, tu devras mettre ton équation égale à zéro. Tu devras donc ramener ton 3 de l'autre côté afin d'obtenir une équation égale à zéro. Finalement, tu n'auras qu'à entrer tes chiffres dans la formule suivante :
Voici une fiche qui pourrait t'aider pour la suite de ton problème :
J'espère avoir répondu à ta question. N'hésite pas à nous réécrire si des questions persistent!
Re : Question
Bonjour, ChevalAimable296! :)
Merci d'avoir pris le temps de nous écrire.
C'est normal de stresser quand on a des échéances à respecter. Le meilleur conseil que j'ai à te donner, c'est de diviser ton livre en un certain nombre de pages à lire par soir, ça te paraitra beaucoup plus atteignable!
De plus, ne te prends surtout pas à la dernière minute. Tu paniqueras beaucoup moins si tu lis quelques pages par jour jusqu'à la fin du défi. :)
Voici quelques stratégies de lecture pour rendre ta lecture plus facile et amusante:
J'espère avoir pu t'aider! N'hésite pas à nous recontacter si tu as d'autres questions. À bientôt sur la Zone d'entraide! :D
Iris
Re : Question
Le périmètre est le contour d'une forme comme 16 cm. Pour savoir comment il faut faire pour connaitre c'est quoi le perimètre d'un carrée par exemple, tu dois prendre ta règle et prendre les mesure de un coté (on vas dire 4cm) et tu fait le même processus pour les autre coté. (donc 4 cm chaque coté). Tu calcule 4+4+4+4 ou 4x4 = 16 donc le périmètre du carrée que je te parlais est 16cm. J'espère je t'ai aider!
Re : Question
Bonjour ChevalAimable296,
Merci beaucoup pour ta question! La physique est une science qui étudie les propriétés de la matière ainsi que l'espace-temps. C'est dans cette discipline de la science qu'on va s'intéresser aux mouvements des différents objets. Voici une fiche sur la physique si cela t'intéresse :
J'espère avoir répondu à ta question. N'hésite pas à nous réécrire si des questions persistent!
Question
salut!
c'est juste pour dire que les exercices alloprof pour le temps de verbe: passé simple ne marche pas pour mon année.
on apprend seulement a la 3ps et a la 3pp. pourriez vous changer l'exercice?
Re : Question
Salut, ChevalAimable296! :)
Merci pour ta question.
Nous sommes désolés d'entendre que tu fais face à des petites coquilles avec notre jeu Conjugo! Tu peux écrire à notre équipe technique juste ici pour leur faire part de cela. N'oublie pas de leur donner le plus de détails possible! :
Nous pouvons aussi te donner quelques sources pour t'améliorer en conjugaison! :)
Premièrement, voici notre exercice interactif de conjugaison de verbes (une bonne alternative à Conjugo) :
Voici aussi notre fiche avec des trucs pour conjuguer:
Puis, notre fiche plus générale sur la conjugaison (elle est conçue pour le secondaire mais je suis convaincue que tu y trouveras des informations pertinentes pour ton année aussi):
J'espère que ces lectures contribueront à ton apprentissage. N'hésite surtout pas à nous recontacter si tu as d'autres questions/commentaires. À très bientôt sur la Zone!
Iris
Re : Question
En a) le jeu de carte comporte seulement 3 cartes: un roi (R), une dame (D) et un valet (V)
Comme il y a deux tirages on peut représenter les résultats par des couples de résultats (r1,r2) où r1 et r2 sont respectivement le résultat du premier tirage et du deuxième
Au premier tirage tu as R, D, ou V comme résultat
au deuxième tirage,
- après R tu as D ou V comme résultat : donc (R,D) et (R,V) sont les possibilités
- après D tu as R ou V comme résultat : (D,R) et (D,V)
- après V tu as R ou D comme résultat : (V,R) et (V,D)
le l'ensemble des solutions possibles lorsqu'on tient compte de l'ordre est {(R,D), (R,V), (D,R), (D,V), (V,R), (V,D)}
Si on ne tient pas compte de l'ordre (R,D)=(D,R), (R,V)=(V.R) et (D,V)=(V,D) et l'ensemble des solutions se limite a 3 éléments {(R,D), (R,V), (D,V)}
En b) le jeton a un côté jaune et un côté vert. Le jeton est lancé à deux reprises donc ici aussi on a deux résultats, un pour chaque lancé:
quand l'ordre est important, l'ensemble des solutions est
{(J,J), (J,V), (V,J), (V,V)}
quand on ne tient pas compte de l'ordre (J,V)=(V,J) et l'ensemble des solutions est
{........................................}
Re : Question
Bonjour DiamantSympathique4686 !
Merci pour ton message !
Si tu utilises un téléphone, il se peut que le clavier ne s’affiche pas automatiquement. Essaie de toucher la zone où tu dois écrire pour le faire apparaître. Tu peux aussi actualiser la page ou fermer l’application, puis la rouvrir.
Si ça ne fonctionne toujours pas, je t'invite à écrire à notre soutien technique juste ici : https://alloprof-ti.atlassian.net/servicedesk/customer/portal/6/group/13
Bonne journée ! 😊
