Populaires
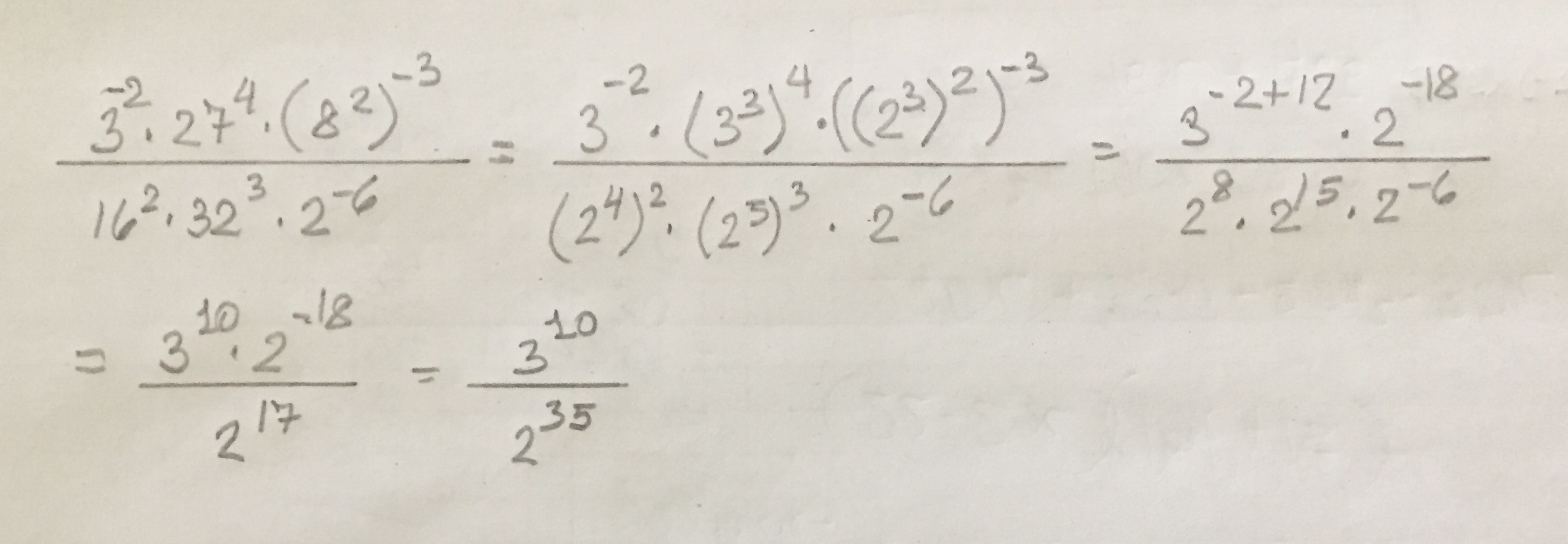
Re : Question
Bonjour,
La distributivité est une propriété de la multiplication. Elle permet à une multiplication d’être distribuée sur une addition ou une soustraction.
Voici un exemple.
Parcours la fiche suivante pour en voir d'autres.
N'hésite pas si tu as d'autres questions!
Re : Question
Bonjour,
On t'indique que les deux côtés opposés du trapèze sont équivalents à la hauteur du rectangle.
Il serait impossible de trouver la valeur de la grande base du trapèze à moins d'avoir d'autres informations. Ainsi, nous sommes plusieurs à supposer que le dessin est mal fait et que la grande base serait (3x+4)+1+1.
Donne l'expression algébrique du périmètre du trapèze.
Sachant qu'il vaut 78 m, tu peux trouver la valeur numérique de x par l'équation.
Tu peux trouver la hauteur du trapèze grâce à la relation de Pythagore.
$$ a^2 + b^2=c^2 $$
À l'aide de cela, trouve l'aire.
$$ A_\text{trapèze}=\dfrac{({B}+b)\times h}{2} $$
où B est la grande base, b est la petite base et h est la hauteur
Je te laisse terminer.
N'hésite pas si tu as d'autres questions!
Re : Question
Bonjour,
Vous trouverez notre répertoire de révision pour ce niveau ici.
En ce qui concerne les ressources didactiques en ligne, il en existe plusieurs comme le Bescherelle en ligne, qui est sur la conjugaison. Quelles compétences souhaitez-vous exercer?
Quelques pistes supplémentaires ici.
N'hésitez pas si vous avez d'autres questions :) À bientôt :D
Re : Question
La hauteur peut être calculée de deux manières,
- en utilisant l'aire du triangle rectangle, mais tu as oublié la division par 2, ta hauteur devrait être 6x - 2
- en soustrayant 2x + 3 de 25 ce qui donne 25 - (2x + 3) = 22 - 2x
Or comme les deux expressions sont égales 6x - 2 = 22 - 2x
on déduit que x = 5/2
Je pense que tu ne devrais pas avoir de problème à compléter la question.
Re : Question
Bonsoir FraiseOptimiste7360!
C'est une question de convention de signes afin de distinguer les différents types de miroirs ou de lentilles. Si on part de la relation mathématique suivante: R = 2 x lf (où lf est la longueur focale),
la convention des signes indique qu'on a une lf négative dans le cas d'un miroir convexe (divergent) et dans le cas d'une lentille concave.
En appliquant la relation mathématique R = 2 x lf dans ces cas, on peut en conclure qu'il est possible d'avoir un rayon de courbure négatif.
J'espère que mes explications répondent à ta question.
N’hésite pas à nous écrire à nouveau si tu as d’autres questions.
Merci d'avoir utilisé notre service d'entraide!
ThonLucide8631
Re : Question
Bonsoir,
1)
Pour l'exercice 5, tu dois situer des points.
Tu peux te servir des graduations pour savoir l'endroit. Par exemple, pour situer (4,0), trouve là où x vaut 4 et y vaut 0.
Tu peux aussi commencer à l'origine. Pour te rendre à (4,0), tu dois aller 4 pas vers la droite, mais aucun vers le bas ni le haut.
Je te laisse une fiche sur le plan cartésien.
Ensuite, rappelle-toi des notions de symétrie. Si un objet est situé à 2 cm de l'axe de symétrie, alors, dans sa réflexion, il sera aussi à 2 cm, mais de l'autre côté. C'est la même logique avec des unités, des graduations.
Voici une fiche sur la réflexion.
2)
Pour l'exercice 1, tu dois faire une rotation d'un angle positif, donc vers le sens antihoraire.
Quel triangle auras-tu?
Révise les notions de rotation.
3)
Pour l'exercice 12, le périmètre est égal à 46. Tu as toutes les informations nécessaires pour trouver l'expression algébrique de chaque côté. Par une égalité, tu peux trouver la valeur numérique d'a en utilisant la résolution d'équation.
Au besoin, utilise la fiche sur la résolution d'équation.
4)
Pour l'exercice 15, tu peux trouver le périmètre de la figure en te rappelant encore une fois que les symboles de lignes sur un côté signifient que le côté est de même longueur qu'un autre.
Le périmètre d'un carré est 4 fois son côté. En l'équivalant au périmètre trouvé précédemment, tu peux trouver la mesure de son côté. En ayant la mesure de son côté, tu peux trouver l'aire qui est le côté multiplié par le côté.
En cas d'oubli, tu peux utiliser la fiche sur les formules d'aire et de périmètre.
5)
Pour l'exercice 21, tu dois compléter une table de valeurs. Regarde bien les graduations de ton graphique et où se trouve chaque point.
Tu dois aussi reconnaitre si c'est une situation directement ou inversement proportionnelle. À l'aide du graphique, as-tu une droite oblique où tous les points passent? Tu peux aussi calculer le coefficient de proportionnalité grâce à ta table de valeurs.
Voici une fiche à ce sujet pour plus de détails.
N'hésite pas si tu as d'autres questions!
Re : Question
Bonjour,
Tu as bien trouvé la mesure de la grande base du trapèze grâce à la formule d'aire, bravo.
Quant à l'aire du losange, tu as oublié de diviser le tout par 2.
$$ A_\text{losange}=\frac{D \times d}{2} $$
En cas d'oubli, révise la fiche sur l'aire des quadrilatères.
On te demande de peindre la partie foncée du mur, pas le tout. Lis bien la question. Ainsi, tu aurais dû soustraire l'aire du losange de l'aire du rectangle.
Tu peux comprendre que nous avions besoin du trapèze seulement pour savoir la mesure de la hauteur du rectangle.
Révise les méthodes de décomposition des figures.
N'hésite pas si tu as d'autres questions!
Re : Question
Bonjour,
L'ennéagone régulier est un polygone possédant 9 côtés.
Bien sûr, en général, on ne pourra pas toujours utiliser les formules habituelles si on utilise que la moitié de la figure.
Peux-tu nous montrer ton problème à résoudre? Que cherches-tu à calculer et quelles informations as-tu?
N'hésite pas si tu as d'autres questions!
Re : Question
Allo PythonBionique6840,
Merci pour ta question!
Le meilleur truc est de bien connaitre tes multiplications! Comme c'est l'opération inverse, ce sera plus simple à comprendre!
J'espère t'avoir aidé!
Lea-Kim









