Liste de discussions
-
Vérifiée par Alloprof
Primaire 6 • 3aComment on fait pour calculer le taxe et les rabais?
-
Vérifiée par Alloprof
Secondaire 3 • 3aJe ne comprend rien de ma pratique de c1 mais ma prof a dit que ça serait TRÈS simllqire à lexam que j’aurais mais je ne pourrais pas comprendre lexam si je ne comprend pas une pratique
-
Vérifiée par Alloprof
Secondaire 2 • 3aBonjour!
- Je n'arrive pas à résoudre ce problème:De plus, est-ce que entre 15 cm et 20 cm inclut 15 et 20 également avec 16, 17, 18 et 19 ?
- Finalement, la seule idée qui m'est venue est la suivante,mais je n'en suis pas certaine: Caluculer l'aire du tissu isolant. Puis, calculer l'aire des disques avec les diamètres 15, 16, 17, 18 et 20 cm. Ensuite, déterminer le nombre de disques qui peuvent y rentrer, la surface occupée par toutes ces disques sur le tissu et ensuite identifier l'espace gaspillée. Comme ça, je trouverais celle qui gaspille le moins de tissu.
Pouvez me l'expliquer s.v.p ?
Merci d'avance :)
-
Vérifiée par Alloprof
Secondaire 4 • 3asalut,
pourquoi l'énoncé D est la bonne réponse et non pas le B?merci
-
Vérifiée par Alloprof
Secondaire 4 • 3abonjour,
comment résoudre ça svp?merci bcp
-
Vérifiée par Alloprof
Secondaire 4 • 3aSalut,
dans cet exercice, pourquoi l'énoncé B est faux? merciiii
-
Vérifiée par Alloprof
Secondaire 4 • 3aSalut, aidez-moi. J'ai un problème avec les conjectures
comme résoudre ça svp? merciiii (ce qui est en rose est la correction)
-
Vérifiée par Alloprof
Secondaire 5 • 3aBonjour, quel est le röle du paramètre h et k dans un fonction exponentielle si celle-ci n'a pas de sommet? Je sais qu'ils provoquent une translation horizontale ou verticale mais concrètement, comment j'illustrerais cela dans un graphique? Merci!
-
Vérifiée par Alloprof
Secondaire 5 • 3aBonjour,
Je n’arrive pas à trouver la valeur de s et de m pour trouver les composantes du vecteur c. J’ai essayé de faire un système d’équations avec les vecteurs a et f.
-
Vérifiée par Alloprof
Secondaire 1 • 3aJe ne sait pas si vous comprenez mais j'ai un problème à propos de l'air périmètre truc comme ça. C'est très urgent merci. voici un petit exemple
Parallélogramme
A=Air
A= b x h
b: base
h: hauteur
Carré
A=c2
c: côté
Je ne sait pas comment mettre des image alors pour comprendre aller sur votre navigateur et mettez dans la barre de recherche ''Parallélogramme base x hauteur'' Merci de m'aider
-
Vérifiée par Alloprof
Secondaire 4 • 3aAh geez
L’écart moyen que j’ai trouvé est 4.075
Malgré ma réponse, le corrigé indique que c’est 11.75 à la place
Pourtant j’ai allé sur Alloprof pour trouver la moyenne des données groupées en classes??
À moins que j'ai mal calculé quelque part :s
-
Vérifiée par Alloprof
Secondaire 3 • 3aOn a besoin de 663,04cm² de papier pour recouvrir la petite orange et la grosse orange en nécessite 841cm². Si la masse de la grosse orange est de 50g, quelle sera la masse la plus petite? La professeure nous a dit que la reponse est 35g mais je ne sais pas pourquoi ca me donne 44,44g a chaque fois.
-
Vérifiée par Alloprof
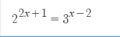
Secondaire 5 • 3aBonjour!!J'ai un problème à trouver la solution de cette équation:je sais pas qu'est ce que je dois faire pour le résoudre......
-
Vérifiée par Alloprof
Primaire 6 • 3aBonjour, ecq vous avez des revision de math pour 6 eme année
-
Vérifiée par Alloprof
Secondaire 1 • 3aL'unité a pour objectif d'offrir 10 h 30 de services directs aux patients lors de chaque quart de travail.Si les unités de temps sont mesurées à coup d’augmentations de 1/6 d'heure, combien d'unités de temps faudra-t-il pour atteindre l'objectif de 10 h 30?60
62
62
-
Vérifiée par Alloprof
Secondaire 4 • 3aBonjour, j’ai besoin d’aide pour résoudre ce problème
-
Vérifiée par Alloprof
Secondaire 4 • 3aQuand on a un tableau à double entrée en statistique, comment on peut savoir si c'est une corrélation positive ou négative ou si elle faible, moyenne ou forte ?
-
Vérifiée par Alloprof
Secondaire 1 • 3aDésolé, le 4 ici était une erreur, je dois trouver le nombre de frères et soeurs de Miguel, mais je ne sais pas comment.
Merci
-
Vérifiée par Alloprof
Primaire 5 • 3abonjour je narrive pas a comprendre les porcentages par exemple 40pour cents sur 500 eleves
-
Vérifiée par Alloprof
Primaire 5 • 3asi mark a un abonnement a l'autobus local et que sa coute 20$ par semaine combien coute un journée
-
Vérifiée par Alloprof
Secondaire 2 • 3aBonjour, j'ai besoin d'exercices pour mieux comprendre l'algèbre et réviser. Pouvez-vous m'en envoyer svp?
Merci!
-
Vérifiée par Alloprof
Primaire 5 • 3aBoujour , je ne comprends pas comment calculer l'air .
pourrez- vous m'aider S.V.P.
-
Vérifiée par Alloprof
Primaire 6 • 3aBonjour,
j’ai besoin que quelqu'un m’explique la probabilité théorique. Je ne n’arrive toujours pas à comprendre!
-
Vérifiée par Alloprof
Secondaire 4 • 3aSalut je me demandais comment on fait pour trouver la règle d'une fonction exponentielle à partir de deux points. Et si l'on pouvais me donner un exemple j'apprécierais vraiment.
Merci à l'avance
-
Vérifiée par Alloprof
Secondaire 1 • 3aSVP j'ai besoin d'aide avec ce problème.
-
Vérifiée par Alloprof
Primaire 5 • 3aBonjour!
Que signifie la les ligne sur chaque côtés du triangle et que signifie le nombre de ligne sur chaque côtés.
-
Vérifiée par Alloprof
Secondaire 2 • 3aBonjours, j’arrive pas à comprendre cette question…j’aurais besoin d’aide.
-
Vérifiée par Alloprof
Primaire 6 • 3aBonjour je ne comprend pas comment calculer un rabais ou des pourcentage de.. voici un exemple : 10% de 60
Merci de m’aider
-
Vérifiée par Alloprof
Secondaire 3 • 3aJe ne comprends pas pourquoi la réponse 3 pr exposants en 2 ? Je comprends pas ce bout de calcul qu'il on fais ?
Pourquoi 3 pr exposants par 2 ? Vous pouvez me expliquer ?
-
Vérifiée par Alloprof
Secondaire 4 • 3aJe ne sais pas comment factoriser l’expression suivante













![[`FIFM@%K_7HF]8T@R~YYXB.png](https://www.alloprof.qc.ca/zonedentraide/uploads/01VP5JA4LH9K/5b-60fifm-40-25k-7hf-5d8t-40r-7eyyxb.png)






