Liste de discussions
-
Vérifiée par Alloprof
Secondaire 4 • 3aSalut, je me demandais comment faire la substitution avec cette équation. #55 Merci
-
Vérifiée par Alloprof
Primaire 4 • 3acomment trouver une fraction équivalente
-
Vérifiée par Alloprof
Secondaire 2 • 3aBonjour,
Je me demande si on choisit trois chiffres, qu'on les réécrit une deuxième fois (ex: 123 123) et qu'on divise ce nombre par 7, ensuite par 11 et par 13, pourquoi cela nous donne les trois premiers chiffres?
Exemple: 863 863 divisé par 7 = 123409 divisé par 11= 11219 divisé par 13= 863.
Pourquoi?
PS: Je sais que la commutavitié est en lien avec ceci. Est-il possible d'avoir plus d'informations concernant ce phénomène ?
-
Vérifiée par Alloprof
Primaire 4 • 3acomment on peut réduire les fractions
-
Vérifiée par Alloprof
Secondaire 2 • 3aBonsoir, est ce que quelqu'un pourrais m'aider avec ces exercices s'il vous plaît ?
-
Vérifiée par Alloprof
Secondaire 1 • 3aBonjour ,j'ai de la misère avec se numéro
-
Vérifiée par Alloprof
Secondaire 2 • 3aJe n’arrive pas à finir le problème.
-
Vérifiée par Alloprof
Secondaire 4 • 3aBonjour, j’aimerais comprendre comment résoudre 8^x/3 = 1052 merci !
-
Vérifiée par Alloprof
Secondaire 4 • 3aY>4 et 4>_c>-0,5 En intervalle svp c'est pour examen et je comprend pas.
-
-
Vérifiée par Alloprof
Secondaire 2 • 3aJe ne comprend pas quoi faire .
-
Vérifiée par Alloprof
Secondaire 1 • 3acomment convertir les fractions mixtes en fractions impropres
-
Vérifiée par Alloprof
Primaire 4 • 3aBonjour pouvez-vous m'aider au plus vite svp
-
Vérifiée par Alloprof
Secondaire 4 • 3aBonjour
comment est-ce qu’on peut résoudre cette question et trouver la réponse à l’aide des elations métriques dans les triangles rectangle ? svp
-
Vérifiée par Alloprof
Secondaire 4 • 3aBonjour
comment est-ce qu’on peut résoudre cette question et trouver la réponse à l’aide des elations métriques dans les triangles rectangle ? svp
merci
-
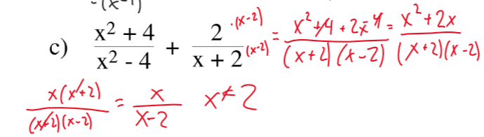
Vérifiée par Alloprof
Secondaire 5 • 3aBONJOUR,
Je ne comprend pas leur 2e restriction
Voici ma demarcheLa reponse
-
Vérifiée par Alloprof
Secondaire 5 • 3aBonjour,
CorrigéJe ne comprends pas leur restriction...
Le numero
-
Vérifiée par Alloprof
Secondaire 1 • 3aJ'ai une question de phrase que je ne saisi pas a comprendre :
Un généreux enseignant décide de gâter ses élevés en leur donnant un sac cadeau contenant un chocolat, un suçon et un pousse-mines. Il y avait au départ 3 chocolats au lait pour cho-
colats blancs et 1 chocolat noir; 25 suçons au sucre d'orge, 20 a l'érable et 15 au caramel; 3 fois plus de pousse-mines de couleur bleue que de noire. Comment faire le diagramme en arbre avec
cette situation. Merci pour les information.
-
Vérifiée par Alloprof
Secondaire 5 • 3aBonjour
Jr nr comprends pas l'importance de garder la réponse comme ca
Cela est un exercice fait en classe avec le prof et lorsque je lui aie demandé si c est correct qu on met le x avant le moins dix il m a dit non cedt une erreur
-
Vérifiée par Alloprof
Secondaire 5 • 3aBonjour, je ne comprends pas comment je n ai pas la bonne réponse
-
Vérifiée par Alloprof
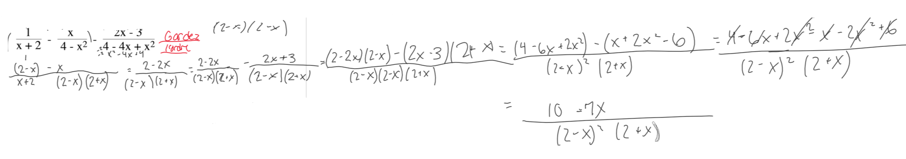
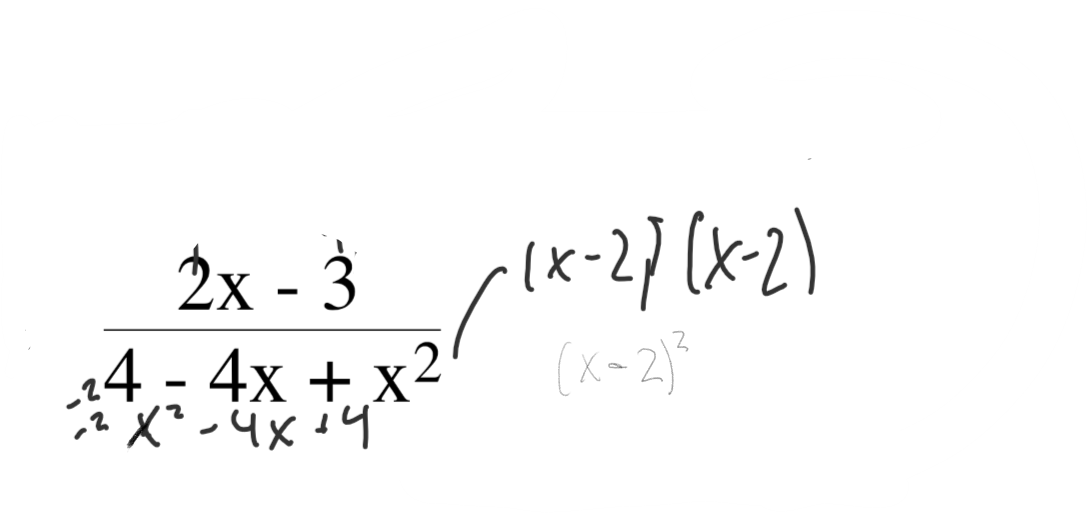
Secondaire 5 • 3aBonjour je ne comprends pas cette restrictionÇa c'est la réponse
Et voici ma réponse avec les démarches
Moi ma restriction est plus 2 et plus 1...Avec le corrigé je suis melanger j'écris la restriction de quel etape j'écris la restriction de la forme non simplifié des le depart ou bien toutes les restriction ou bien la restriction simplifié...?
-
Vérifiée par Alloprof
Secondaire 1 • 3aCe ceci est question est pour mon ami peut tu me donné la raiponce et des subjection sur comment le faire comprendre
-
Vérifiée par Alloprof
Primaire 6 • 3aBonjour je suis en plein dans ma période d'examen du ministère et j'ai beaucoup de misère avec les exposants.
-
Vérifiée par Alloprof
Secondaire 2 • 3aj'ai fait le devoir avec un de vos prof Alloprof et quand je me suis fait corriger par mon vrai professeur plus que la moitier etais mauvais... j'aimerai savoir ques que je doit ecrire a la place. merci
-
Vérifiée par Alloprof
Secondaire 1 • 3aSalut j’ai encore besoin d’aide pour les question et source de biais
Ps: c’est pas. Un examen ! C’est une feuille dexcercise
-
Vérifiée par Alloprof
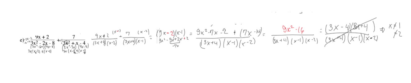
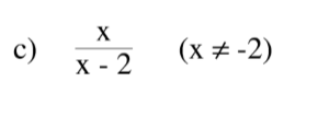
Secondaire 5 • 3aBonjour je ne comprends pas cette restrictionÇa c'est la réponse
Et voici ma réponse avec les démarches
Moi ma restriction est plus 2
-
Vérifiée par Alloprof
Secondaire 1 • 3aJe comprend pas la source de biais
-
Vérifiée par Alloprof
Secondaire 3 • 3aBonjour!
Je ne comprends pas les fonctions de variation inverse et linéaires et comment trouver la règle des fonctions en général. J'aurais besoin d'explications S.V.P! Merci à l'avance!
-
Vérifiée par Alloprof
Secondaire 1 • 3aComment faire le problème
6,8÷20=
-
Vérifiée par Alloprof
Secondaire 2 • 3aComment additionner ces deux terme :
8ab/9 + 2/9 ab
-
Vérifiée par Alloprof
Secondaire 3 • 3aC'est quoi une fonction inverse ou rationnelle























