Liste de discussions
-
Vérifiée par Alloprof
Secondaire 5 • 3aJ'aimerais avoir des explications pour ce calcul: 5x/(1-x)+12=19. Dans l'exercice nous devons trouver le x dans l'équation.
-
Vérifiée par Alloprof
Secondaire 5 • 3aBonsoir,
Pouvez-vous svp m'expliquer comment faire ces 2 exercices?Pour le #4, c'est pour les images.
Merci et bonne soirée! :)
-
Vérifiée par Alloprof
Secondaire 1 • 3acomment effectuer des transformations d’unité de longueur et d’aire
-
Vérifiée par Alloprof
Secondaire 5 • 3aBonsoir,
Pouvez-vous svp m'expliquer pourquoi la lettre b et h ne sont pas des fonctions périodiques?Merci et bonne soirée! :)
-
Vérifiée par Alloprof
Secondaire 5 • 3aBonsoir,
Comment faire ces 2 exercices?Merci et bonne soirée! :)
-
Vérifiée par Alloprof
Secondaire 5 • 3aBonsoir,
J'ai une question concernant le phénomène périodique / cyclique.
Je ne comprends pas pourquoi lorsqu'on cherche le nombre de minimums qu'il y a entre A (1 ; 2,5) et F (233,5 ; 1) on fait distance des valeurs de x / par 6 qui est la période.
Est-ce parce qu'on cherche combien de période il y a entre A et F et que celle-ci se trouve sur l'axe des x? (On, fais-tu la différence entre les 2 points pour cette raison-là pour ensuite voir combien de fois cette dernière rentre dans 6u?) Dont la réponse est 38,75, mais vu 0,75 passe par le point 39, vu que c'est plus que la demie on mettrait 39.)
Merci et bonne soirée! :)
-
Vérifiée par Alloprof
Secondaire 5 • 3aJe sais que les variables dans ce problème sont le nombre de table et le nombre de chaise, mais je ne sais pas comment savoir laquelle est x et y.
Il m’arrive souvent de ne pas savoir comment identifier x et y
Merci en avance
-
Vérifiée par Alloprof
Secondaire 5 • 3aBonjour, pouvez-vous me dire c qu'il dans ma réponse? Car je n'ai pas exactement la même chose que dans le corrigé.
-
Vérifiée par Alloprof
Secondaire 1 • 3aBonjour je n'arrive pas à le calculer
pouvez vous m'aider?
s'il vous plait °-°
-
Vérifiée par Alloprof
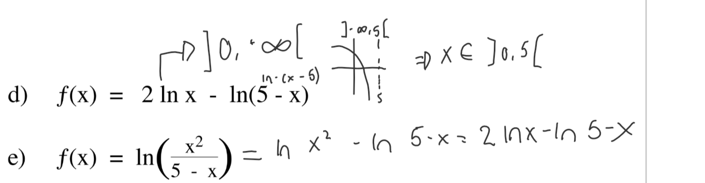
Secondaire 5 • 3aBonjour
Comment suis-je supposé de trouver le domaine d'une fonction comme ça ?
Mon prof me disait toujours décortiquer lorsque les fonctions sont mélangées...
-
Vérifiée par Alloprof
Secondaire 1 • 3aJe ne sais pas comment faire le a).
-
Vérifiée par Alloprof
Secondaire 5 • 3aBonjour,
Je ne comprends pas cette lois...
-
Vérifiée par Alloprof
Secondaire 5 • 3abonjour,
la prof s'est trompée ce n'est pas une erreur du corrigé
Quelqu'un peut m'expliquer pourquoi on n'obtient pas la même réponse?
-
Vérifiée par Alloprof
Secondaire 5 • 3abonjour
pourquoi je n'ai pas le droit de repondre a cette question de cette facomn...?
-
Vérifiée par Alloprof
Secondaire 5 • 3aBonjour,
Pour le 2e j'ai crû que la réponse était la même que la première. Mais quand je suis allé voir le corrigé les 2 n'ont pas la même réponse...
Pouvez-vous m'aider ?
-
Vérifiée par Alloprof
Secondaire 4 • 3aBonjour!
Alors en fait je suis scolarisé à la maison depuis début janvier donc je ne peu pas vraiment contacter mes professeurs pour des questions instantané.
Pouvez-vous m'aider avec ce numéro? Je ne sais pas vraiment par où commencé. Je me casse la tête haha mais je ne comprend pas.
-
Vérifiée par Alloprof
Secondaire 5 • 3aJe ne comprends pas comment je duis supposé de faire ce numéro, je n'obtiens pas la bonne réponse...
-
Vérifiée par Alloprof
Secondaire 2 • 3apovier vous svp maider jais demander de laide a ma mere ell aussi ne comprend pa(escuse pour les couleur cest ma seur😁😁) merci en avence
-
Vérifiée par Alloprof
Secondaire 4 • 3ay>4 traduit en intervalle svp
si jamais qq1 connais la réponse je comprend
rien (ensemble solution)
Merci beaucoup
...
Avec crochet merci .
...........................
.........
-
Vérifiée par Alloprof
Secondaire 5 • 3aJe ne comprends pourquoi je n'ai pas bon ici.
-
Vérifiée par Alloprof
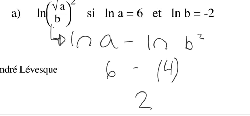
Secondaire 5 • 3aDans les lois des expo il y a un truc que je ne comprends malgré mes notes de cours alloprof et les exercices
Comment par exemple e à la Ln ds 7 peut donner 7
Oui e à la log e s'annule mais je ne comprends pas le comment du pourquoi...
-
Vérifiée par Alloprof
Secondaire 5 • 3aComment je fais pour résoudre le b
-
Vérifiée par Alloprof
Primaire 5 • 3aJe ne sais pas c'est quoi un angle de 194 degréssi vous savez une astuce Merci de me le dire 😎😎😎😎😎😎
-
Vérifiée par Alloprof
Secondaire 2 • 3aJe comprend pas ce numéro la est ce que je peut avoir de l'aide svp
-
Vérifiée par Alloprof
Secondaire 1 • 3aOn a effectue un sondage aupres de 80 eleves pour savoir ce qu'ils ont fait au cours du dernier mois parmi les activites culturlles suivantes : aller
cinema, aller au theatre ou aller a un concert . Le diagramme de Venn que j'ai envoye la photo. Je voudrais savoir comment on trouve les proporti-
ons et les pourcentages d'activites que les etu-
diant ont fait au cours du dernier mois. Merci
pour les informations.
-
Vérifiée par Alloprof
Secondaire 3 • 3abonjour a tous je ne comprend pas ceci
-
Vérifiée par Alloprof
Secondaire 1 • 3aDans le diagramme de venn, je voudrais savoir comment on trouve les proportions et les pour-
centages avec les éléments des chiffres sur les
activites culturelles. J’envoie une photo d’exem-
ple.
-
Vérifiée par Alloprof
Secondaire 4 • 3aBonjour, je ne comprend pas ce problème. Est-ce que vous pouvez m'aider ?
-
Vérifiée par Alloprof
Secondaire 2 • 3aBonjour,
Je ne comprend pas les numéros suivant:
#1, Joshua, Marc et Vincent se séparent le contenu d'un sac de bonbons. Marc en a deux de plus que Joshua, et Vincent en a une fois et demie plus que Marc. La sac contenait 26 bonbons. Quelle équation peut résoudre cette situation si x représente le nombre de bonbons de Marc? (Je connais la réponse, 3,5x - 2 = 26, mais je ne comprend pas comment y arriver.)
#2, 3(4x-2) = 2(3x-2) + 10
(ou bien simplement les opérations avec deux côtés algébriques.)
#3, Un producteur agricole et son employé veulent rouler une balle de foin ronde sur une distance de 10m afin de nourrir les animaux. Si le diamètre de la balle de foin est de 122cm, combien de tours complets doit-elle faire?
Merci:)
-
Vérifiée par Alloprof
Secondaire 1 • 3ac’est quoi une médiane, une bissectrice, une hauteur et une médiatrice






















