Liste de discussions
-
Vérifiée par Alloprof
Secondaire 5 • 1aBonjour,
Je ne comprends pas ce que j'ai fait de mal en appliquant la loi des cosinus. a2=b2+c2-2(bxc)xcosA
-
Vérifiée par Alloprof
Secondaire 4 • 1aBonjour, pouvez-vous m'expliquer comment tirer les données d'un diagramme "tige" (j'ai oublié le nom ;-;)? Merci!
-
Vérifiée par Alloprof
Primaire 5 • 1apour prouver ma chance que je suis éleve conaiser vous le truc du fois 11 vous saver au mouin jenre 7 fois 11 égale 77, on répète le nombre !
-
Vérifiée par Alloprof
Primaire 6 • 1aBah enfaite c'est genre pour réviser pour mon examen ce jeudi et j'aimerais avoir un peux d'aide comme des choses à retenir quand on fait une C1 merci !
-
Vérifiée par Alloprof
Primaire 6 • 1aExuser moi j'aimerais que vous m'aider pour les résolutions de problème car c'est pour une C1 merci !
-
Vérifiée par Alloprof
Secondaire 5 • 1aBonjour,
Dans l'équation: 2 = b exp 15.7
J'ai de la difficulté à comprendre le raisonnement pour obtenir la valeur de b.
Merci de m'éclairer!
-
Vérifiée par Alloprof
Secondaire 4 • 1aDans un graphique avec des fonctions en escalier, démontrer où sont les valeurs critiques. Merci!
-
Vérifiée par Alloprof
Secondaire 4 • 1aJe fait de la quadratique mais je suis perdu je ne comprend pas comment je trouve le K et le A j'ai juste le X,Y et le H comment je fait pour trouver la règle complète?merci.
-
Vérifiée par Alloprof
Primaire 5 • 1aComment apprendre les table de divisions jusqu'a 12 par coeur?
-
Vérifiée par Alloprof
Secondaire 1 • 1aPour une fête, on va préparer deux sortes de petits gâteaux. L'organisateur désire que 210 des gâteaux soient à la vanille. Lereste des gâteaux seront au citron.a)Comme il y aura 20 personnes à la fête, il devra y avoir 20 gâteaux. En respectant les désirs de l'organisateur, combien de gâteaux à la vanille et de gâteaux au citron y aura-t-il??gâteaux à la vanille?gâteaux au citron
-
Vérifiée par Alloprof
Primaire 5 • 1aAllo je ne suis pas sure si la circonférence du cercle est 3 14?
Si oui,pourquoi?
-
Vérifiée par Alloprof
Primaire 5 • 1aBonjour!Est ce que vous avez des trucs pour apprendre la description du cercle 5 année?
Merci!!!
-
Vérifiée par Alloprof
Secondaire 2 • 1acomment résoudreComment résoudre le problème suivant
-
Vérifiée par Alloprof
Primaire 5 • 1aAllo!!! J'aimerais avoir des trucs pour apprendre la description des solides 5 année.Je n'arrive pas à l'avoir par coeur. Avez vous des trucs???
Merci!
-
Vérifiée par Alloprof
Secondaire 5 • 1aBonjour,
Je n'arrive pas à résoudre ce problème
Je n'arrive pas a trouvé la duré de surveillance
Merci
-
Vérifiée par Alloprof
Primaire 2 • 1aGuillaume veut également recouvrir le plancher de son sous-sol detuiles carrées. Lestuiles se vendent audécimètre carré et aumètre carré.
Voici lesmesures, encentimètres, qu'il a obtenues.Longueur : 700 cmLargeur : 400 cm
Tu te souviens que 1 m ⇔ 10 dm et
1 m ⇔ 100 cm.a)Quelle est l'aire du plancher du sous-sol endécimètres carrés??dm²b)Quelle est l'aire du plancher du sous-sol enmètres carrés?
-
Vérifiée par Alloprof
Primaire 3 • 1abonjour,
j'ai de la misère avec cette question:
Zoé veut recouvrir le plancher de sa chambre de tuiles carrées. Les tuiles mesurent un décimètre carrée chacun.
Voici les mesures, en centimètre carrée, qu'elle a obtenues pour sa chambre.
Longueur : 480 cm
Largeur : 330 cmQuelle est l'aire du plancher de sa chambre en décimètre carrée?
-
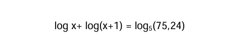
Vérifiée par Alloprof
Secondaire 5 • 1aje n'arrive pas résoudre se logarithme
-
Vérifiée par Alloprof
Primaire 6 • 1a20 chapeaux
chapeaux rectangulaire dont l aire est 924 cm 2 hauteur 22 cm
chaque chapeau confectionner en collant ensemble 2 cotés du cartonmesurant22 cm
un carton en haut un autre au centre décorer de pastilles de forme circulaire collées cote a cate sur toute la longueur du carton
le diametre de chaque pastille 3 cm
combien de pastilles pour décorer les 20 chapeaux
-
Vérifiée par Alloprof
Secondaire 1 • 1aAprender le nombre enteros
-
Vérifiée par Alloprof
Secondaire 3 • 1aje ne comprends pas la croissante et le décroissant dans les propriétés des fonctions.
-
Vérifiée par Alloprof
Secondaire 4 • 1aexpliquer moi les paramètres multiplicatifs svp
-
Vérifiée par Alloprof
Secondaire 5 • 1aJe n'arrive pas à résoudre ceci
Merci
-
Vérifiée par Alloprof
Secondaire 2 • 1aBonjour! Je ne comprends pas comment calculer les dimensions du terrain:Merci en avance!
-
Vérifiée par Alloprof
Secondaire 5 • 1aJ'ai une fonction de règle
y=2,5 sin (π divisé par 6)(x-h)+3
et un point (5,3) Jr n'arrive pas à isoler h.
Merci
-
Vérifiée par Alloprof
Primaire 6 • 1a¯\(°_o)/¯ je ne comprends pas trop l'exercice
-
Vérifiée par Alloprof
Primaire 6 • 1aC'est quoi une fraction impropre?
-
Vérifiée par Alloprof
Secondaire 2 • 1aBonjour ! En fait, j'ai un problème avec une notion en algèbre ; je ne comprends pas comment faire pour réduire une expression algébrique quand il y a des fractions dans l'expression ou que l'expression elle-même est une fraction. Pouvez-vous m'aider ?
Merci et bonne soirée !
-
Vérifiée par Alloprof
Secondaire 4 • 1aJ'ai besoin d'un prof de math qui pourra m'aider avec mes cours/ devoirs
Merci:)
-
Vérifiée par Alloprof
Primaire 5 • 1ac'est quoi les exposants.Merci!!







