Liste de discussions
-
Vérifiée par Alloprof
Secondaire 1 • 1aBonjour
je ne sais pas comment calculer ceci:−31, −37, −43, −49, −55, ...
-
Vérifiée par Alloprof
Secondaire 5 • 1aBonsoir Louis-Philippe B,
J’ai lu votre explication mais je n’ai rien compris de l’explication des probabilités que vous m’avez expliqué. Serait-il possible de clarifier? Merci encore
-
Vérifiée par Alloprof
Secondaire 2 • 1aAllo ! Je ne comprends pas comment faire pour savoir sir une proportion est proportionnel ?( le truc que tu dois multiplier les nombres en diagonale?)
Merci d'avance !!
-
Vérifiée par Alloprof
Primaire 3 • 1ac'est quoi une fraction
-
Vérifiée par Alloprof
Primaire 6 • 1aSalut ca va les math son cool. Merci d'avoir crée Alloprof
-
Vérifiée par Alloprof
Secondaire 5 • 1aEst-ce que je pourrais avoir de l’aide sur ce numéro, il faut rationaliser le dénominateur.
-
Vérifiée par Alloprof
Secondaire 4 • 1aBonjour! Est-ce que je dois faire la méthode de produit-somme pour décomposer ce polynôme à deux variables et facteurs?
-
Vérifiée par Alloprof
Secondaire 2 • 1aBonjour est ce qu’il y a des exercices pour trouver des X (variables) sur une équation algébrique difficile car toute est facile pour moi et j’ai peur qu’il y a des truc difficile a mon examen demain . Je cherche des équation plus dûr et plus d’étape que dans l’image .Merci 😭💀
-
Vérifiée par Alloprof
Secondaire 4 • 1aAllô!
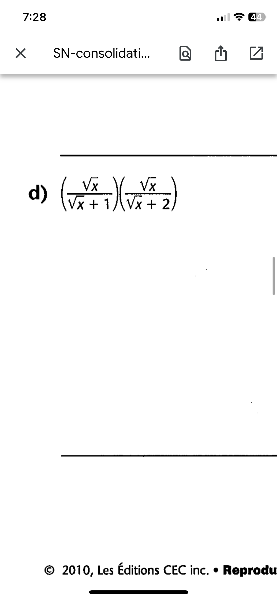
Est-ce que quelqu'un peut m'expliquer les divisions de fractions rationnelles svp?
Merci
-
Vérifiée par Alloprof
Secondaire 5 • 1aBonsoir,
J’ai commencé un problème difficile. Est-ce correct ce que j’ai fait? J’ai besoin d’indiceMerci!
-
Vérifiée par Alloprof
Primaire 5 • 1aje ne comprend pas les triangle qui peux expliquer
-
Vérifiée par Alloprof
Secondaire 2 • 1aSalut! 👋
Demain, j’aurai un examen en maths sur les rapports, taux, proportions, pourcentage, et les figures semblables.
J’ai de la difficulté avec les rapports et taux, car j’inverse souvent les variables des fractions.
Aussi, je ne comprends pas trop les figures semblables. Voici un exemple d’un exercice que je n’ai pas trop compris:Si vous avez des idées pour m’aider à réviser, n’hésitez pas!
Merci!
-
Vérifiée par Alloprof
Primaire 3 • 1ac'est quoi une division ➗
-
Vérifiée par Alloprof
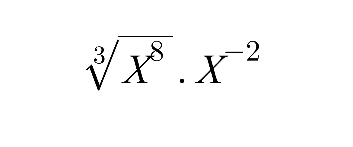
Secondaire 3 • 1aBonjour,
Je voudrais savoir comment on résous cette équation algébriqueJe voudrais savoir par où commencer.
Qu’est que je dois faire avec la racine carrée de 3 et quand il y’a que des variables.
pourriez vous m’aider.
merci! ^^
-
Vérifiée par Alloprof
Secondaire 2 • 1aBonjour Alloprof dans le problème suivant j'ai trouvé la réponse 216 rangés de plus. Cependant mon professeur m'a dit que c'était incorrect.
Pouvez-vous me dire comment bine comprendre ce problème s'il vous pait
Merci et bonne journée
-
Vérifiée par Alloprof
Secondaire 1 • 1acomment multiplier une fraction
-
Vérifiée par Alloprof
Secondaire 2 • 1aAllo ! Je me demandais si vous aviez des exercices pour les proportions, les % et les variations ?
Merci d'avance !!
-
Vérifiée par Alloprof
Secondaire 3 • 1acomment calculer l'aire d'un trapèze
-
Vérifiée par Alloprof
Primaire 5 • 1aje ne comprent pas l'associativité mathématique
-
Vérifiée par Alloprof
Primaire 6 • 1aL'Associativité c'est quoi
-
Vérifiée par Alloprof
Primaire 6 • 1aBonjour je chercher Le Devoir raisonner #24
-
Vérifiée par Alloprof
Secondaire 5 • 1aBon après midi,
Comment on sait vers quoi une fonction rationelle tends?
Merci!
-
Vérifiée par Alloprof
Primaire 5 • 1aest-ce qu'il y a un jeu pour les triangles?
-
Vérifiée par Alloprof
Primaire 3 • 1ac'est quoi des multiplication
c'est quoi une multiplication ✖
-
Vérifiée par Alloprof
Secondaire 5 • 1aVous pouvez m’aider à faire cette question SVP?
-
Vérifiée par Alloprof
Primaire 5 • 1aEs ce que j'ai raison de penser que -2+2=0?
-
Vérifiée par Alloprof
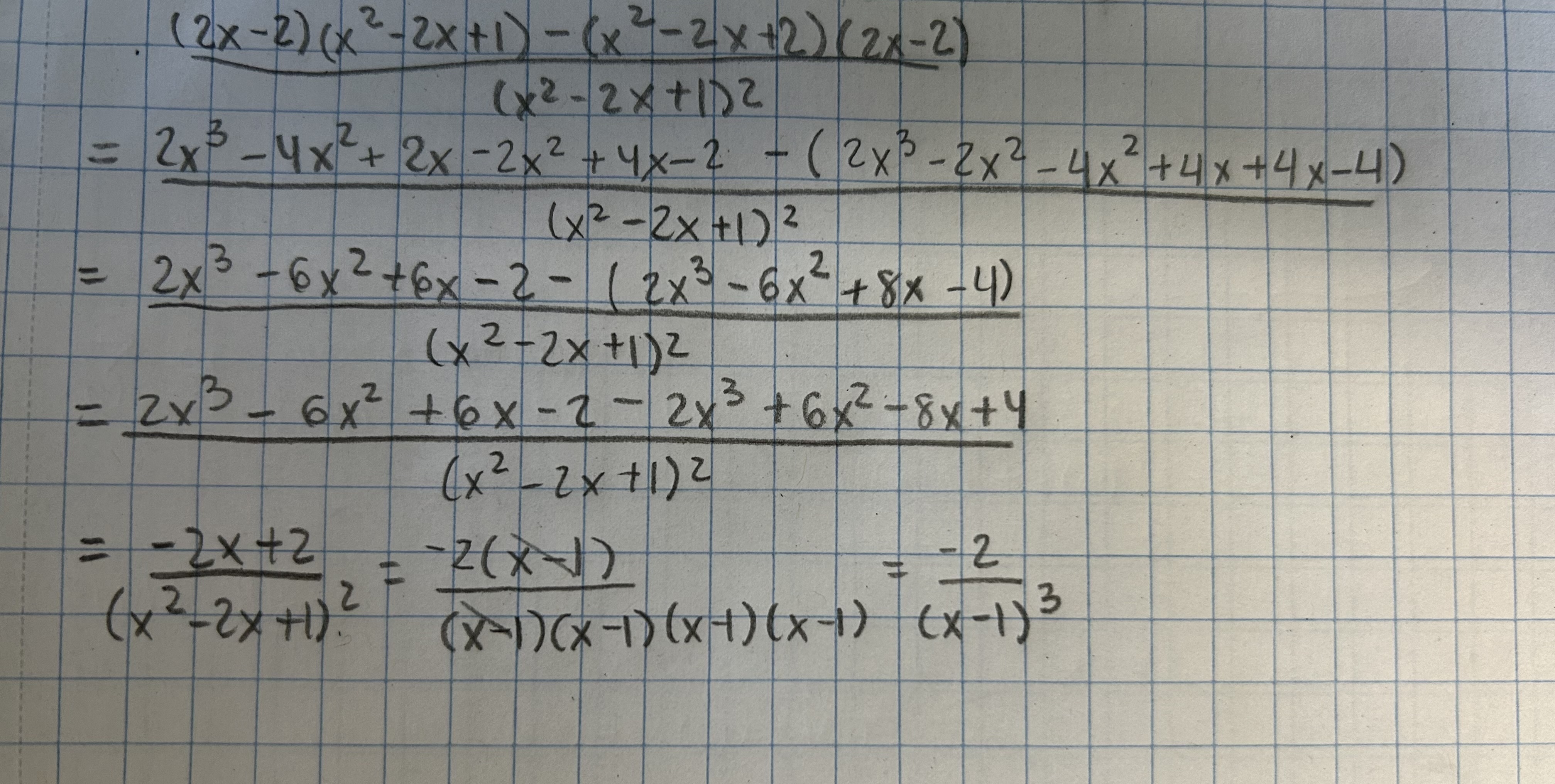
Secondaire 5 • 1aBonjour. Est-ce que la facto est correct? C’est mélangeant avec tous les signes et je ne sais pas si j’ai raté quelque part ou si mes calculs sont corrects. Merci
-
Vérifiée par Alloprof
Secondaire 5 • 1aBonjour comment trouver le domaine de ça? Je ne sais pas comment continuer
-
Vérifiée par Alloprof
Secondaire 5 • 1aAllo! Je ne sais pas comment trouver le domaine après ça. Je suis un peu perdue. Comment savoir quand c’est plus grand que zéro? Qu’est-ce que je dois écrire pour trouver?
-
Vérifiée par Alloprof
Primaire 4 • 1aun cour en ligne de math














