Liste de discussions
-
Vérifiée par Alloprof
Primaire 5 • 1aQuelque aidez moi s’il vous plaît, Disez moi se qu’ils faut faire car je suis tout perdu.
-
Vérifiée par Alloprof
Secondaire 1 • 1ac'es quoi la difference d'une bissectrices et une mediatrices.
-
Vérifiée par Alloprof
Secondaire 3 • 1aBonjour est ce que quelqu'un peut m'expliquer ce numéro svp
-
Vérifiée par Alloprof
Primaire 6 • 1acomment diviser des nombres
-
Vérifiée par Alloprof
Secondaire 3 • 1aQuelqun pourrait m’expliquer numero 11
-
Vérifiée par Alloprof
Secondaire 4 • 1aBonjour Alloprof :)
Pourriez-vous s.v.p. m'expliquer la différence entre une ellipse et un ovale ? J'ai fais des recherches sur Internet mais je n'ai pas bien compris. J'aimerais également connaître les formules qui permettent de calculer l'aire d'un ovale et d'une ellipse.
Merci d'avance !
RenardExemplaire5785
-
Vérifiée par Alloprof
Primaire 5 • 1aAllo
Ma question est : le chiffre 1 est un nombre composé ou premier?
-
Vérifiée par Alloprof
Secondaire 4 • 1aQu'est-ce qu'un domaine, un codomaine, une variation et un extremum?
-
Vérifiée par Alloprof
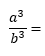
Secondaire 4 • 1aComment inverser les variables a et b dans cette équation,pour arriver à :
-
Vérifiée par Alloprof
Secondaire 4 • 1aComment isoler b dans l'équation suivante:merci :)
-
Vérifiée par Alloprof
Secondaire 3 • 1aJ'aurais besoins d'être pour mettre en visuel ce 'problème'.
"Dans chaque cas, représente une fonction qui respecte les propriétés énoncées":
B)
•Le domaine est [2, 9];
•L'image est [0, 7];
•Son abscisse à l'origine est 2;
•La fonction n'a pas d'ordonnée à l'origine;
•Son Maximum est 7
•Son minimum est 0.
Bien sûr cela vient avec le Tableau avec X,y.
-
Vérifiée par Alloprof
Primaire 5 • 1aQu'est ce qu'un triangle isocèle?
-
Vérifiée par Alloprof
Secondaire 4 • 1aVrai ou faux?J'ai tenté de résoudre l'équation, j'aimerais une validation svp :)
-
Vérifiée par Alloprof
Secondaire 4 • 1aJ'ai des problèmes avec cette équation:merci pour votre aide :)
-
Vérifiée par Alloprof
Secondaire 2 • 1aQuelqu’un à me simplifier les étapes?
-
Vérifiée par Alloprof
Secondaire 1 • 1aBonjour, Pouvez-vous me dire si ma réponse répond bien au critère d'une conclusion d'un diagramme a bande.
Je conclu, que mon style d'apprentissage le plus élevé est celui visuel ,car je l'ai comptabiliser 10 fois dans mon diagramme à bande.
Merci
-
Vérifiée par Alloprof
Secondaire 3 • 1aest ce que ma démarche est correctela derniere phrase est elle aimerait faire un profit de 4 dollars par boite vendue desole je ne peut pas vous envoyer la démarche pour l'instant mais est ce que c'est possible de me donner la dimarche pour que je la compare avec la mienne
-
Vérifiée par Alloprof
Primaire 5 • 1aRe-bonjour !
Merci beaucoup madame Katia pour m'aider avec les fractions :D
Pouvez-vous m'aider avec ce numéro :Je ne comprends rien :(
S.v.p aider moi !!
Merci beaucoup :)
-
Vérifiée par Alloprof
Secondaire 1 • 1aBonjour
j’aimerais savoir en règle générale dans la résolution de problème de fraction quand on a une réponse finale
de fraction impropre ex: 36/24
est ce que c’est vrai qu’il faut toujours donner une réponse irréductible ET qu’il ne soit pas impropre?
par exemple, en réduction ça me donne 3/2
donc je dois inscrire en réponse finale sous cette forme 1 1/2
( est ce que c’est vrai qu’il ne faut jamais inscrire sous forme impropre?)
Merci beaucoup!
-
Vérifiée par Alloprof
Primaire 5 • 1aBonjour !
Est-ce que les fractions sont irréductibles lorsque le numérateur est 1 ?
Par exemple : 1/2, 1/3, 1/4 , 1/5 , 1/6 .......
Merci :D
-
Vérifiée par Alloprof
Secondaire 1 • 1a- C'est quoi que je peux faire pour resoudre ce problème? (avec une démarche): Le père de Sandrine a fait un pâté au poulet pour souper. Les cinq membres de la famille reçoivent une part égale de pâté. Sandrine mange seulement les du pâté dans son assiette.Quelle fraction du pâté Sandrine a-t-elle mangé?
-
Vérifiée par Alloprof
Primaire 4 • 1aBonjour l'équipe d'Alloprof.
J'aimerais savoir comment retenir les tables de multiplications de 1 jusqu'à 12.
Merci énormément de votre aide
ElfeRose4675
-
Vérifiée par Alloprof
Secondaire 3 • 1aBonjour pouvez-vous m'expliquer ça je ne comprends pas merci ?
-
Vérifiée par Alloprof
Secondaire 2 • 1aJe ne comprends pas quel démarche faire pour arriver a une réponse. Merci!
-
Vérifiée par Alloprof
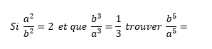
Secondaire 3 • 1aBonjour je n'ai pas bien compris pris c'est quelles type de variables
-
Vérifiée par Alloprof
Secondaire 5 • 1asalut je ne comprends pas ce probleme a cause que quand sa dit en faisant correspondre son centre a lorigine jai pas compris cest ou ca sur le dessin c'est vague dans ma tete stp aidez moi.
-
Vérifiée par Alloprof
Secondaire 3 • 1aBonjour,
Comment faire pour que deux lignes affines soient perpendiculaires? Quel est le calcul
merci
-
Vérifiée par Alloprof
Secondaire 4 • 1ajaimerais savoir si la réponse est correcte. Et les démarches aussi.
-
Vérifiée par Alloprof
Primaire 4 • 1aMerci les membre de Alloprof pour votre aide mes j’ai besoin de jeu pour mes math (j’étudie vraiment beaucoup)
Merci beaucoup !
KiwiDynamique7131
-
Vérifiée par Alloprof
Secondaire 1 • 1aBonjour, Pouvez-vous me dire si ma réponse répond bien au critère d'une conclusion d'un diagramme a bande.
Je conclu, que mon style d'apprentissage le plus élevé est celui visuel ,car je l'ai comptabiliser 10 fois dans mon diagramme à bande.
Merci


















