Liste de discussions
-
Vérifiée par Alloprof
Secondaire 1 • 2aBonjour, :) je ne comprends pas les questions 6, 8, et 10 :Merci d’avance !
-
Vérifiée par Alloprof
Secondaire 5 • 2aBonjours je comprend comment faire tOut sauf trouver le point d’intersection pouvez vous juste nous montrer cette démarche. Car je sais que qu’en j’entre mes équation le point x dois être 8 mais je suis incapable de le calculer.
-
Vérifiée par Alloprof
Primaire 6 • 2acomment etre le meilleur en math
-
Vérifiée par Alloprof
Secondaire 5 • 2aBonjour, comment je trouve la règle de la fonction rationnelle avec un point donné sur chacune des courbes?
-
Vérifiée par Alloprof
Secondaire 4 • 2aBonjour je ne comprend pas quelle formules je dois utiliser?
merci
-
Vérifiée par Alloprof
Secondaire 2 • 2aPouvez vous m'aider avec ce problème
-
Vérifiée par Alloprof
Secondaire 5 • 2aBonjours sa vas faire 3 jours que je suis sure de problème et personne de mon entourage ne peux m’aider s’il vous plaît pouvez vous m’aider?
-
Vérifiée par Alloprof
Primaire 4 • 2aj'ai besoin d'aide résolution problème
-
Vérifiée par Alloprof
Secondaire 4 • 2aBonjour :)
Est-ce que vous savez s'il y a une beaucoup de question de ce genre dans l'examen de mathématiques CST de secondaire 4 ? :Et aussi, avez vous des fiches et des trucs pour m'aider avec ça (les démonstrations mathématiques), car je trouve que c'est vraiment difficile… Dans cet exercice, il y a 5 rangées, donc 5 affirmations à faire, mais quand j'essais de toutes les trouver, je n'en trouve pas exactement 5...
Merci beaucoup. :)
-
Vérifiée par Alloprof
Primaire 5 • 2aJ'ai pas bien compri les division. Pouver vous m'aider?
Mercie!!!😺
-
Vérifiée par Alloprof
Secondaire 5 • 2aBonjour je ne sais pas résoudre le reste pour établir la règle de la fonction
-
Vérifiée par Alloprof
Secondaire 4 • 2aRe-bonjour !
Est-ce que quelqu'un peut m'aider à réussir cet exercice de trigonométrie s.v.p. ? Merci énormément d'avance ! 🙂Donc, je dois trouver la mesure de la hauteur CG. Comme vous pouvez le voir, j'ai déjà trouvé plusieurs mesures, mais je n'arrive pas à terminer le problème…
Je dois encore trouver la mesure BC pour pouvoir utiliser la formule de Pythagore (a²+b²=c²) avec les mesures de AG et AC puis trouver la mesure manquante (qui est la cathéte du triangle rectangle ACG).
Le problème est que je n'arrive pas du tout à trouver la mesure du segment BC. Pouvez-vous m'aider ? Si je dois recomencer tous mes calculs afin de trouver la hauteur d'une autre manière, j'apprécierais aussi beaucoup si vous pouviez m'aider.Merci beaucoup ! 🙂
-
Vérifiée par Alloprof
Secondaire 4 • 2aBonjour ! 😀
Pouvez-vous corrigez cet exercice mathématique s.v.p. ? Si ce n'est pas bon, pouvez-vous m'expliquer mon erreur ? Merci beaucoup d'avance !
-
Vérifiée par Alloprof
Primaire 4 • 2apouvez vous m'aide a trouver des exercice des résolution de problème
merci
-
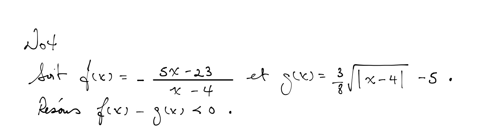
Vérifiée par Alloprof
Secondaire 3 • 2aC'est quoi la fonction rationnelle? Quelle est sa règle? Comment on la trouve?
-
Vérifiée par Alloprof
Primaire 6 • 2aOù se trouve la ressource qui permet de comprendre comment multiplier ou diviser un nombre décimal par 10, 100, 1000? Merci
-
Vérifiée par Alloprof
Secondaire 5 • 2aQuestion 4 je comprend pas
-
Vérifiée par Alloprof
Primaire 4 • 2apouvez vous composer 2 question mathématiques de la fraction 1/8
-
Vérifiée par Alloprof
Secondaire 2 • 2aBonjour, je ne sais pas trop comment résoudre cette équation.. pouvez vous m'aider?
Merci d'avance!
-
Vérifiée par Alloprof
Primaire 3 • 2aquel est la meilleur facon d apprendre les maths s.v.p. merci
-
Vérifiée par Alloprof
Primaire 5 • 2asalut. je cherche un truc pour maider au multipilications et au divisions surtout pendant les dictées mon ensaignante ne nous laisse pas beaucoup de temps ce qui ne me facilite pas la tache.
merci .
-
Vérifiée par Alloprof
Secondaire 3 • 2aBonjour!
J'aimerais savoir un truc pour mettre les bonnes variables dans la réponse d'une mise en évidence simple en algèbre.
Merci et bonne journée!
RubisRouge9610
-
Vérifiée par Alloprof
Secondaire 5 • 2aSalut!
Ici dans ce probleme , je n arrive pas a trouver la fonction Z , (je pense il y en a 2) puis aussi dans les buts des ingenieurs ca dit le cout du solvant pas LITRE de peinture produite est inferieur a 40$ est ce que ca veut dire qu il faut que je convertisse mes cout de solvant par ml en cout de solvant pas litre. Merci
-
Vérifiée par Alloprof
Secondaire 2 • 2aAllô,
Pouvez-vous m’aider svp?Merci d’avance 😁😁
-
Vérifiée par Alloprof
Primaire 6 • 2acombien fait 2 fois 2
-
Vérifiée par Alloprof
Secondaire 2 • 2aAllô,
Pouvez-vous m’aider pour cet exercice svp?
Quand je calcul la base (3*23+10) je trouve 79 et la hauteur (2*23-5) je trouve 41, mais quand je les additionne, je trouve 120 au lieu de 110. Je ne sais pas où est mon erreurMerci d’avance 😁😁
-
Vérifiée par Alloprof
Secondaire 2 • 2aVous pouvez me montrer ,comment faire ça
-
Vérifiée par Alloprof
Primaire 4 • 2aJe peux tu crée un jeux svp.Merci
-
Vérifiée par Alloprof
Postsecondaire • 2aJ'aimerai résoudre ce problème.
Une étude menée auprès de 520 foyers de la région indique que 450 familles ont un forfait télévision auprès d’un câblodistributeur (T), 420 familles ont un forfait de téléphonie résidentiel (P) et 340 familles ont un forfait Internet (I). Parmi ceux qui ont un forfait télévision, on en dénombre 380 qui ont également un forfait de téléphonie. Toujours parmi ceux qui ont un forfait télévision, ils sont 320 à avoir aussi un forfait Internet. 280 familles ont un forfait de téléphonie et d’internet. Finalement, 270 familles ont les trois services. a) Illustrez ces données dans un diagramme de Venn. Indiquez à l’intérieur de chacune des régions le nombre de familles qui s’y retrouvent. b) Comment peut-on noter les familles qui n’ont aucun forfait ? c) Quel est leur nombre ? d) Que vaut 𝑛𝑛(𝐼𝐼′ ) ? Que représente-il ? e) Que vaut 𝑛𝑛(𝐼𝐼 ∖ 𝑇𝑇) ? Que représente-il ?
-
Vérifiée par Alloprof
Secondaire 4 • 2aBonjour! Est ce que je pourait avoir de l'aide pour corriger ces exercises the math?




















