Liste de discussions
-
Vérifiée par Alloprof
Secondaire 2 • 2aComment simplifier une expression algébrique ?
-
Vérifiée par Alloprof
Secondaire 3 • 2aBonjour,
J'aimerais savoir comment reconnaitre une modélisation de fonction à variation inverse. Je viens de faire un exercice sur les fonction puis ce n'est qu'en regardant le corriger que j'ai vu que c'était une modélisation. J'aimerais pourtant les reconaitre directement via la table des valeurs, comment?
-
Vérifiée par Alloprof
Secondaire 1 • 2aComment calculer le PGCD et le PPCM en notation exponentiel
-
Vérifiée par Alloprof
Primaire 6 • 2aEst-ce qu’il y a des exercices pour former des forme régulières à partir d’une forme
Merci d’avances
-
Vérifiée par Alloprof
Secondaire 2 • 2aJe comprends pas ça j'aimerais que l'on m'explique
-
Vérifiée par Alloprof
Secondaire 2 • 2aJe comprends pas ce numéro
-
Vérifiée par Alloprof
Secondaire 5 • 2aBonjour, est ce que vous pouvez m’aider à trouver cette équation parce que je ne sais pas comment trouver 2 paramètre en même temps.
-
Vérifiée par Alloprof
Secondaire 3 • 2aBonjour Alloprof, pouvez-vous m’aider avec ces problèmes, je suis perdu.
-
Vérifiée par Alloprof
Secondaire 4 • 2aBonjour,
Pouvez-vous m'expliquer comment trouver la partie entière d'un nombre?
Par exemple: (2,7) = ?
Merci :)
-
Vérifiée par Alloprof
Secondaire 1 • 2aBonjour! Est ce que vous avez des fiches imprimables pour la variation de température et pour la variation de temps pour le secondaire 1?
-
Vérifiée par Alloprof
Primaire 6 • 2aBonjour,
j’ai besoin de votre aide pour résoudre ce problème.
est ce qu’on calcule les mûres ou une ranger?
-
Vérifiée par Alloprof
Secondaire 3 • 2aJe ne comprends pas comment résoudre ce problème. Je pense qu’il faudrait trouver les deux règles de chaque équation (pour Simon et pour Rafaël) mais je sais pas trop comment faire . Je ne sais pas non plus quelle est la variable dépendante et la variable dépendante entre le nombre de jour en le nombre de pages. Merci de votre aide
-
Vérifiée par Alloprof
Secondaire 5 • 2aBonjour AllôProf,
Pouvez-vous m'expliquer pourquoi l'équation suivante est égale à 1 svp?
|x-7|=|x+5|
Merci et bonne journée!
-
Vérifiée par Alloprof
Secondaire 1 • 2aavez-vous des exercice sur les chaine d'opération.
merci
-
Vérifiée par Alloprof
Secondaire 1 • 2acomment calculer l'Air D'un losange
-
Vérifiée par Alloprof
Postsecondaire • 2aBonjour ! Comment peut t-on savoir si un systèmes d’équation linéaire à 2 ou 3 inconnues admet une solution, aucune solution ou une infinité de solution? Je ne suis pas sur de comprendre comment on determine cela selon le nombre d’inconnues ?
merci !!!:)
-
Vérifiée par Alloprof
Secondaire 5 • 2aj’essaie de résoudre une équation, la réponse est supposer être 28, c’est un equation que j’ai “créé” pour résoudre un problème mathématiques: 88=x+2x+x/7
j’essaie de faire la technique de la balance et sa ne donne pas 28.
-
Vérifiée par Alloprof
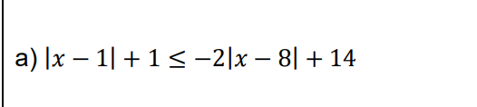
Secondaire 5 • 2asalut , comment on resout cette inequation ?
-
Vérifiée par Alloprof
Secondaire 3 • 2aBonjour, pouvez-vous m’aidez à trouver le type de fonction de ce problème. Exemple : fonction linéaire, inverse, affine ou constante.
merci
-
Vérifiée par Alloprof
Primaire 5 • 2aBonjour,Dans L'arbre de facteur ci-dessous mes nombres premiers sont 3,2 et 5 comment je fais pour les mettres en notation exponentielle ? Merci!
-
Vérifiée par Alloprof
Primaire 5 • 2aComment faire un exposant sur ordinateur et iPad pour completer ma réponse
-
Vérifiée par Alloprof
Secondaire 5 • 2aBonjour,
quelle est la valeur de x quand
6^(x+3) = 6^(x) +5
Merci
-
Vérifiée par Alloprof
Secondaire 2 • 2aBonjour à tous,
Pendant mon cours de Math mon prof a mis une énigme que je n'ai jamais résolu et qu'il n'ait jamais expliqué le raisonnement ou la raison. Voici l’énigme:
Rogadien demeure dans un immense bloc appartement égyptien. Ce grand immeuble a la forme d'une pyramide* et les appartements sont numérotés de la manière présenté dans l'image en pièce jointe.La nuit dernière, sont voisin du dessus écoutait du Nickelback très fort et cela agaça profondemment Rogadien; Rogadien veut aller le voir, mais il ne sait pas le numéro de l'appartement de son voisin d'en haut immédiat.
Si Rogadien habite le 2019, quel est le numéro de l'appartement de son voisin du dessus?
Quelqu'un peut me dire comment résoudre ce problème? Merci beaucoup 😊!
-
Vérifiée par Alloprof
Secondaire 1 • 2aBonjour, je n'ai pas compris 3 questions qui est a propos des math et des fractions :
1) Monsieur Dufour prépare de la pate a pain. Il a besoin de 4 et 1/2 de tasses a farine. Pour mesurer la quantité de farine, il utilise un contenant d'une demi-tasse.
De combien de demi-tasses monsieur Defour a-t-il besoin pour préparer sa recette ?
2) Dans un parcours d'hébertisme, une épreuve consiste a marcher en équilibre sur 7 poutres de 1/6 km de longueur chacune.
Quelle distance totale faut-il parcourir sur les poutres pour réussir l'épreuve ?
Ecris ta réponse sous forme de nombre fractionnaire.
3) Sabrina travaille dans un restaurant. Le dessert du jour est une pointe de tarte aux pommes. Aujourd'hui, Sabrina a servi 33 pointes de tarte a ses clients.
S'il y a 8 pointes par tarte, combien de tartes Sabrina a-t-elle servies aujourd'hui ?
Ecris ta réponse sous forme de nombre fractionnaire.
Merci d'avance!
-
Vérifiée par Alloprof
Secondaire 3 • 2aBonjour, comment calculer une fonction inversre quand nous savons le k et le y.
dans mon devoir, le y=50 000 et le k=250 000
merci d'avance
-
Vérifiée par Alloprof
Secondaire 4 • 2aBonjour,
Comment est-ce qu'il faut diviser (x^2+3xy+3x+2y^2+3y) ÷ (x+y)?
Je sais comment diviser des polynômes, mais je n'arrive pas à trouver la réponse de celle-ci.
Merci!
-
Vérifiée par Alloprof
Secondaire 3 • 2aBonjour Est -ce que c'est correct
-
Vérifiée par Alloprof
Primaire 6 • 2aBonsoir alloprof!!!!
Lorsqu'il nous demande de faire une approximation du résultat dans une résolution,comment je dois savoir quelle nombre, et a quelle unité on va l’arrondir.
Merci beaucoup!!!!!
-
Vérifiée par Alloprof
Primaire 5 • 2aBonjour
j aimerais savoir comment faire pour réduire une fraction jusqu'à sa réponse irreductible
-
Vérifiée par Alloprof
Primaire 5 • 2aBonjour, j'aimerais savoir comment différenciée les triangles isocèle,équilatéral et scanèle?
Svp










