Liste de discussions
-
Vérifiée par Alloprof
Secondaire 1 • 2aBonjour! Je n’ai pas réussi à faire cette question..
Merci d’avance pour l’aide.
-
Vérifiée par Alloprof
Primaire 6 • 2aEst-ce que vous pouvez m’aider svp je ne comprend pas le #2 d)
-
Vérifiée par Alloprof
Secondaire 4 • 2aPourriez-vous m'aider à factoriser cette expression algébrique ?
4x¹⁰ -64
Merci
-
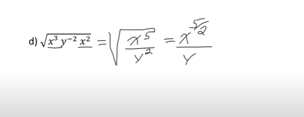
Vérifiée par Alloprof
Secondaire 5 • 2aSalut , cette fonction pourrait elle etre egale a
x2racx le tout sur y
-
Vérifiée par Alloprof
Secondaire 1 • 2aBonjour j’ai de la difficulté a mémoriser mes table de multiplication et les truc alloprof ne fonctionne pas
-
Vérifiée par Alloprof
Secondaire 2 • 2aBonsoir,
J'ai un devoir en mathématique sur les termes manquants et l'équation est la suivante : -14+ ? = 19
J'ai trouvé 33.
Est-ce la bonne réponse ?
Merci et bonne soirée
-
Vérifiée par Alloprof
Primaire 6 • 2ases quoi une nombre cube
-
Vérifiée par Alloprof
Secondaire 4 • 2aBonjour je ne comprends pas cet exercice de résolution d’équation en mise en situation ( on le fait sans calculatrice)
«On a encadré une peinture mesurant 8 cm par 12cm à l’aide d’un cadre dont la surface est 156 cm2. Quelle est l’épaisseur de ce cadre?»
-
Vérifiée par Alloprof
Primaire 6 • 2aBonjour, est-ce que vous avez des sites à me conseiller j’ai de la misère dans les résolutions de problèmes sur les multiplications en maths
merci
-
Vérifiée par Alloprof
Secondaire 4 • 2acomment factoriser une équation?
-
Vérifiée par Alloprof
Secondaire 3 • 2aJe ne comprends pas comment savoir si j’ai besoin de mettre la numéro exposant positif en haut ou en bas.
-
Vérifiée par Alloprof
Secondaire 1 • 2aJe ne comprend pas comment résoudre le problème et la démarche
-
Vérifiée par Alloprof
Secondaire 5 • 2aComment la forme factorisée d’une fonction polynômiale peut-elle aider à déterminer les maximums ou les minimums d’une fonction? (Pouvez-vous me lexpliquer avec au moins une application de fonction.)
-
Vérifiée par Alloprof
Secondaire 1 • 2aBonjour, je voudrais savoir s il y a une technique pour reconnaitre les nombres pour forme la moyenne
-
Vérifiée par Alloprof
Secondaire 4 • 2aBonjour, Pour ce numéro je suis un peu mélangée. Est-ce que vous pouvez vérifier si j’ai fait la bonne démarche sachant que x c’est le temps sur un ordinateur et y c’est le temps sur un appareil mobile,car j’ai pas la même réponse que le corrigé
merci en avance.
-
Vérifiée par Alloprof
Secondaire 4 • 2aBonjour, Pour ce numéro je suis un peu mélangée, car je ne pas une réponse très proche de celle du corrigé. Pouvez-vous me dire si c’est bien, car en statistique je sais qu’on a peut ne pas toujours avoir les mêmes réponses, mais ils restent bonnes ?
Merci en avance.
-
Vérifiée par Alloprof
Secondaire 5 • 2aSAALUT,je ne sais pas comment donner le pourcentage ici ,
-
Vérifiée par Alloprof
Secondaire 5 • 2aBonjour, je ne suis pas capable de trouver toutes les formules pour ce problème (je ne comprends pas la question aussi)
Merci!
Un artisan fabrique des miroirs décoratifs ainsi que des vitraux. Le prix d’un miroir est de 110 $ et celui d’un vitrail est de 195 $. L’artisan vend au moins deux fois plus de miroirs que de vitraux. Un miroir nécessite 2 h de travail alors qu’un vitrail requiert 4 h de travail.
Si l’artisan travaille au plus 40 h par semaine, dont au moins 16 h sur
les vitraux, que devrait-il produire pour que les ventes soient maximales ?
Quel sera alors le montant de ses ventes ?
-
Vérifiée par Alloprof
Primaire 5 • 2aQuelle est le nombre qui donnes 78
Mathématique primaire 5
-
Vérifiée par Alloprof
Secondaire 4 • 2aBonjour, Pour ce numéro je suis un peu mélangée, car je ne pas une réponse très proche de celle du corrigé. Pouvez-vous me dire si c’est bien, car en statistique je sais qu’on a peut ne pas toujours avoir les mêmes réponses, mais ils restent bonnes ?
Merci en avance.
-
Vérifiée par Alloprof
Secondaire 4 • 2aBonjour, Pour ce numéro je suis un peu mélangée. Est-ce que vous pouvez vérifier si j’ai fait la bonne démarche, car j’ai pas la même réponse que le corrigé merci en avance.
-
Vérifiée par Alloprof
Primaire 6 • 2aDans l’addition de fractions, doit-on additionner les numérateurs et les dénominateurs?
-
Vérifiée par Alloprof
Primaire 5 • 2aLe x et le y veulent dire les termes manquant. Si tu en a deux terme manquent le x vas avant le y.
-
Vérifiée par Alloprof
Primaire 6 • 2ac'est quoi la réponse de 1+1?
-
Vérifiée par Alloprof
Secondaire 5 • 2aBonjour! je ne suis pas capable de trouver les 4 formules de ce problème. Je sais comment faire mais je ne suis toujours pas capable.
Merci de l'aide :)
Le soleil émet des rayons qui peuvent être dommageables pour la peau. En particulier, on doit se protéger contre les rayons ultraviolets de type A (UVA) et de type B (UVB). Une compagnie pharmaceutique fait appel à un biochimiste pour concevoir un composé de lotion solaire bloquant ces deux types de rayons. Pour respecter les exigences de la compagnie pharmaceutique, le biochimiste doit produire un composé d’au plus 150 ml et qui contient au moins 2 fois plus de lotion contre les UVA que de lotion contre les UVB. De plus, il doit y avoir au minimum 30 ml de lotion contre les rayons UVB dans le composé. Pour satisfaire la compagnie, le biochimiste doit produire ce composé au meilleur coût possible. Un millilitre de lotion contre les rayons UVA coûte 0,02 $ à produire et un millilitre de lotion contre les rayons UVB en coûte 0,04 $ à la compagnie pharmaceutique.
-
Vérifiée par Alloprof
Secondaire 5 • 2aSalut je ne comprends pas qu’est-ce que je dois faire au numéro 7 est-ce que vous pouvez m’aider s’il vous plaît ?
-
Vérifiée par Alloprof
Primaire 5 • 2aSalut j'ai oublier ça veut dire quoi un nombre composer et un nombre premier vous pouver m'aider?????
-
Vérifiée par Alloprof
Secondaire 4 • 2aComment faire une factorisation de deux termes différents qui n'ont pas les mêmes exposants ?
-
Vérifiée par Alloprof
Secondaire 3 • 2aBonjour alloprof . J'ai vraiment de la misère à résoudre ce exercices .SVP aider moi à y voir Clair voici l'exercice.
Trouve l'aire de la surface à peindre de l'objet suivantles traits vif représente des pointillés
Merci et bon matin
-
Vérifiée par Alloprof
Secondaire 2 • 2aBonjour!
J'aimerais savoir s'il y avait une fiche sur les définitions algébriques des propriétés des opérations. J'ai vu celle des propriétés des opérations, mais il n'y avait pas les définitions algébriques...
Merci!
L'Elfe.















