Liste de discussions
-
Vérifiée par Alloprof
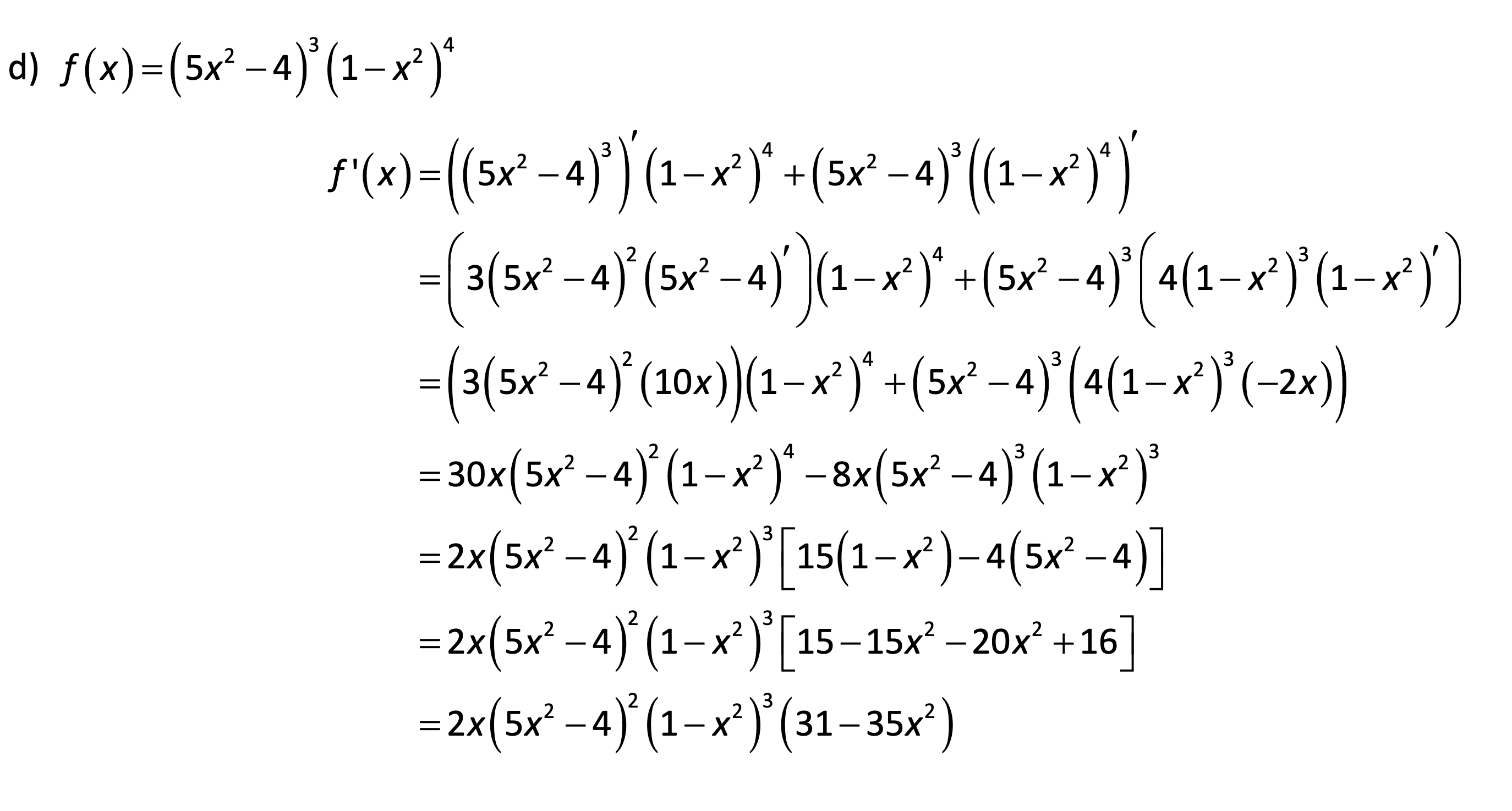
Secondaire 5 • 2aBonjours, pouvez-vous identifier mon erreur et peut etre m'expliquer ce que je devrais faire.
-
Vérifiée par Alloprof
Primaire 6 • 2aBonjour je suis une élève de 6 année du primaire.
J’ai besoin d’aide avec un devoir de mathématique à remettre demain.
Est-ce que quelqu’un pourrait m’aider si possible?
-
Vérifiée par Alloprof
Primaire 6 • 2aBonjour Alloprof je fais un devoir sur la notation exponentielle et j'ai besoin d'aide
-
Vérifiée par Alloprof
Secondaire 3 • 2aBonjour, je voulais m’assurer que mes réponses sont correctes! Merci!
-
Vérifiée par Alloprof
Primaire 5 • 2aSalut est-ce que il y a des exercices sur l’associativité, la commutativité et la distributivité
loup rouge
-
Vérifiée par Alloprof
Primaire 5 • 2acomment diviser un nombre négatif :)
-
Vérifiée par Alloprof
Secondaire 1 • 2aBonjour, en utilisant le produit croisé, je dois comparer les 2 fractions ci-dessous et pour ça, je dois d'abord déterminer leur dénominateur commun ( tout en utilisant le produit croisé ), mais je ne sais pas comment faire. Est ce que quelqu'un pourrait m'aider ? (ne pas confondre le produit croisé et la règle de 3 !!!) Merci
Voilà l'exercice en question :
3/4_5/7
-
Vérifiée par Alloprof
Secondaire 4 • 2aBonjour !
comment déterminer la règle d’une fonction définie par parties, grâce à son graphique et des points donnés.
merci beaucoup et bonne journée :)
-
Vérifiée par Alloprof
Primaire 5 • 2abonjour alloprof
auriez vous des petit trucs pour trouver les facteur d'un nombre!!
merci.
-
Vérifiée par Alloprof
Primaire 5 • 2abonsoir et bonne année 2023
je ne comprend pas du tout la multiplication avec deux facteure de deux exemple : 23x35
-
Vérifiée par Alloprof
Secondaire 1 • 2aComment je ferais pour calculer les mesures pour savoir que les lignes sont parallèles.
-
Vérifiée par Alloprof
Secondaire 1 • 2aJ’ai tu eux la bonne réponse dans la question 16.Merci
-
Vérifiée par Alloprof
Postsecondaire • 2aBonjour,
Je fais présentement le cours de calcul différentiel et je ne comprend pas ce numéro. Où est passé le 8 et le 30 de l'étape 3?
Merci
-
Vérifiée par Alloprof
Secondaire 4 • 2aBonjour !
comment déterminer x et y d’une fonction dont je ne connais pas la règle ?Merci beaucoup !
-
Vérifiée par Alloprof
Primaire 3 • 2abonjour je voulais savoir sa fait quoi 110 fois 990
merci beaucoup
-
Vérifiée par Alloprof
Primaire 6 • 2aBonjours j'ai un examen ce matin et je ne me souviens plus comment additionner des centaines avec des dixièmes faut il avoir deux tableaux différent ou juste un? SVP répondez moi vite parce que je commence l'école a 8h15.
Merci d'avance.
-
Vérifiée par Alloprof
Secondaire 4 • 2aJ'ai vraiment beaucoup de difficultés avec ce genre de graphique et je me demandais comment trouver un point inconnus à l'aide d'un point connus et de l'équation de la droite? Merci d'avance :)
-
Vérifiée par Alloprof
Secondaire 3 • 2aAllô j’espère que vous serez en mesure de me répondre mais je ne sais pas si le x est égal au coût ou à l’entreprise plomberie pourriez vous me donner un truc
-
Vérifiée par Alloprof
Primaire 5 • 2aIl y a t'il des fiches pour m'aider à comprendre les fraction irréductible
???
Merci
-
Vérifiée par Alloprof
Primaire 5 • 2aSalut!
J'ai de la difficulté avec un problème comme ceci
3 fois 4 sur 7
pouvez vous me donnez une technique?
Merci! :)
-
Vérifiée par Alloprof
Primaire 3 • 2aDonc rebonjour, dans mon cahier il y a un dessin pour les multiplications, c'est un rond avec les nombres 17 au milieu, et autour 6, 7, 8, 15, 10, 9, 12, et 17 je voudrais juste savoir sa veut dire quoi...Désolé pour le truc mauve qui a sur le papier
-
Vérifiée par Alloprof
Secondaire 1 • 2acomment calculer le rabais dans une situation ou le rabais est de 3$
-
Vérifiée par Alloprof
Secondaire 4 • 2aj'ai besoin d'aide svp j'arrive pas à dire la réponse, la période de la fonction est 2
-
Vérifiée par Alloprof
Secondaire 2 • 2aQuel opération faudrait t-il affecter pour convertir une unité de mesure en unité de volume.
Comme par exemple:
4,1 m en m2(métre carré)
-
Vérifiée par Alloprof
Primaire 1 • 2abojor cets qoui 5pluss5
-
Vérifiée par Alloprof
Secondaire 3 • 2aBonsoir,
1*x^0 donne combien?
Merci
-
Vérifiée par Alloprof
Secondaire 3 • 2aBonsoir,
Puis je avoir de l'aide avec ce numéro ?Merci !
-
Vérifiée par Alloprof
Secondaire 4 • 2aJe suis en train de faire un problème de math qui dit :Merci beaucoup.
-
Vérifiée par Alloprof
Primaire 5 • 2aVotre explication n’est pas clair est-ce que vous pouvez le faire avec moi svp
-
Vérifiée par Alloprof
Secondaire 1 • 2ail y a vingt boule et dedans il ya sept boule bleu combien est le pourcentage de boule bleue













