Liste de discussions
-
Vérifiée par Alloprof
Secondaire 2 • 3ajai besoin d’aide pour calculer les pourcentages secondaires 2 avec taxe et rabais
-
Vérifiée par Alloprof
Primaire 2 • 3aPouvez vous m’aider avec ça ?
-
Vérifiée par Alloprof
Secondaire 5 • 3aComment remplir le tableau à partir de la fonction donné ?
-
Vérifiée par Alloprof
Secondaire 2 • 3aJe ne comprend pas ce devoir pouvez vous m’expliquer le coefficient de proportionnalité et le produit constant
-
Vérifiée par Alloprof
Secondaire 3 • 3aJ’ai un problème écrit qui demande :
1-choisissez un nombrE et multipliez-le par 4
2- ajouter 10 au résultat obtenu
3- divisez ce résultat par 2
4- retranchez 5 au résultat obtenu
on le demande d’expliquer comment un magicien pourrait deviner facilement le nombre choisi par le spectateur.
comment dois-je procéder pour faire la démonstration?
-
Vérifiée par Alloprof
Secondaire 4 • 3aSalut j'ai beaucoup de difficulté avec les fonctions polynominales(affine,escaliers,affine par parti)et j'aurais aimer que quelque mexplique les étapes pour dessiner graphiquement une fonction quand ont nous donne les caractéristiques de cette fonction. MERCI
-
Vérifiée par Alloprof
Secondaire 1 • 3aBonjour,
je ne comprend rien de ces 2 numéro ces un devoir que je dois remettre demain
-
Vérifiée par Alloprof
Secondaire 5 • 3aComment trouver la restriction d'une fonction rationnelle?
-
Vérifiée par Alloprof
Secondaire 5 • 3aSalut, je connais la réponse mais je ne connais pas comment la résoudre avec une bonne démarche pouvez-vous me le faire pour m'aider s'il vous plait.
merci beaoucoup.
-
Vérifiée par Alloprof
Secondaire 2 • 3aBonjour je ne suis pas sûr de comprendre cette question. Pouvez vous m’aider a trouver le x et la réponse, merci!
-
Vérifiée par Alloprof
Primaire 2 • 3aBonjour
c’est quoi la suite de la régularité 2+5 ,4
-
Vérifiée par Alloprof
Primaire 6 • 3aEst ce que vous peu mettre un regle de dividibiliter comme exercises
-
Vérifiée par Alloprof
Secondaire 2 • 3aBonsoir !
Je voudrais comprendre comment résoudre ce fameux problème donc je n'y comprends absolument rien
Le voici : 30% de _?_donne 5/8Merci d'avance !
-
Vérifiée par Alloprof
Secondaire 2 • 3aBonjour! J'arrive pas à comprendre mon problème de math et j'ai besoin d'aide! J'ai déjà demandé de l'aide à mon prof mais j'ai toujours pas compris. Je suis capable de faire les calculs sans problème mais je suis pas capable de trouver la démarche à faire. Voici le problème en question :Voici la question ci-dessusVoici la bonne réponse au-dessus
-
Vérifiée par Alloprof
Secondaire 1 • 3abonjour comment calculer le ppcm avec 3 arbre génealogique
-
Vérifiée par Alloprof
Secondaire 5 • 3aBonjour,mon prof m'A dit que ma reponse était bonne, mais qu'elle n'était pas complete, en fait, je peux combinémasi deux reponse pour en obtenir une, comment je fais?
-
Vérifiée par Alloprof
Secondaire 1 • 3aJe ne comprend pas ces question pour les suite.
Le salaire de Chloé comprend un montant fixe de 7 $ pour ses frais de déplacement et 9 $ pour chaque heure de travail effectuée.
- Que représente le montant de 7$?
- Que représente le montant de 9$?
-
Vérifiée par Alloprof
Primaire 5 • 3aBonjour,
j'aimerais apprendre les tables de multiplications et divisions mais météormath me stress
merci
-
Vérifiée par Alloprof
Primaire 5 • 3aC'est quoi de l'algèbre???
-
Vérifiée par Alloprof
Secondaire 1 • 3aQue signifie: nombre naturel?
-
Vérifiée par Alloprof
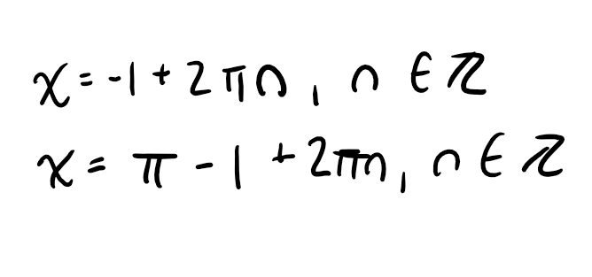
Secondaire 1 • 3aBonjour et désoler du dérangement, mais j'ai un test sommatif sur les priorités des opérations et les entiers relatifs qui s'envient bientôt alors est ce que quelqu'un peut me recommander un site ou une fiche alloprof pour réviser le sujet?
Merci d'avance!
-
Vérifiée par Alloprof
Secondaire 3 • 3aBonsoir,
comment faire le numéro 4?
-
Vérifiée par Alloprof
Primaire 6 • 3abonjour je voudrais savoir si ma réponse a mon calcul est correcte. Merci ! (je vous écrit ma démarche en dessous).Merci de votre aide. :)
-
Vérifiée par Alloprof
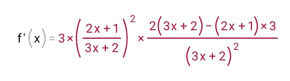
Postsecondaire • 3aBonjour, comment fait-on pour simplifier cette expression ?
Merci,
-
Vérifiée par Alloprof
Primaire 3 • 3a40+9078=combien en maths
-
Vérifiée par Alloprof
Primaire 3 • 3a1+1 es gal combien en math
-
Vérifiée par Alloprof
Primaire 3 • 3acomment bien décomposer un nombre?
-
Vérifiée par Alloprof
Secondaire 2 • 3ahello i do not understand variables could someone help
-
Vérifiée par Alloprof
Primaire 6 • 3aBonjour,jeudi j'ai un examen de connaisance en math et dedans il y aura les arbres de facteurs premier, auriez-vous une section ou je pourrais regardez et etudiez un peu la matiere?Merci
-
Vérifiée par Alloprof
Secondaire 4 • 3aSalut,
j’ai des problèmes en trigonométrie. Comment savoir si il faut mettre un (-) ou un (+), dans notre relation de Pythagore et triangle ?Comme par exemple, dans l’exercice B)
merci beaucoup.














