Liste de discussions
-
Vérifiée par Alloprof
Secondaire 5 • 4aAllô!
Je me demandais comment devions-nous résoudre l'équation suivante:
6,0 mètre - 4,0 mètre par seconde = 0,5a fois 16 secondes carré
Merci!
-
Vérifiée par Alloprof
Secondaire 5 • 4aMerci Monsieur Anthony, mais pourquoi dites-vous que pour le numero 7, cela donne le meme résultat?
-
Vérifiée par Alloprof
Secondaire 5 • 4aBonjour!
Au numéro 6, on me demande de tracer une onde dont la valeur de l'amplitude est le double de celle de la longeur d'onde.
Or, dans le corrigé, l'amplitude et la longueur d'onde ont tout 2 la même valeur, n'est ce pas ?
Puis, au numéro 7, on me demande de tracez à nouveau l'onde du numéro précédant, mais 2 secondes plus tard, en considérant que sa vitesse est de 0,1 m\s. Je ne sais pas comment procéder. À mon avis, le graphique ne change pas, étant donné que la vitesse ou le temps ne représente aucune des valeurs sur le graphique, mais je n'en suis pas certain.
Merci pour l'aide !
-
Vérifiée par Alloprof
Secondaire 5 • 4aBonsoir!
Que veut-on dire lorsqu'on affirme que certains animaux percoivent des fréquences plus basses associées aux infrarouges que les êtres humains?
Merci!
-
Vérifiée par Alloprof
Secondaire 5 • 4aPour la question 26 je ne comprend pas pourquoi je n’ai pas la réponse du corrigé qui est de 49,9 degrés
-
Vérifiée par Alloprof
Secondaire 5 • 4aPour le 24 j’ai fais la démarche mais ça ne me donne pas la bonne réponse
-
Vérifiée par Alloprof
Secondaire 5 • 4aJe n’arrive pas à faire le c et le d du 55.
pourriez vous m’aider s’il vous plaît
-
Vérifiée par Alloprof
Secondaire 5 • 4aBonjour,
pour la question 13 la réponse est non est le vu est positive mais je ne comprend pasMa démarche
-
Vérifiée par Alloprof
Secondaire 5 • 4aJe en comprend pas le 28
-
Vérifiée par Alloprof
Secondaire 5 • 4aJe ne comprend pas le 26
-
Vérifiée par Alloprof
Secondaire 5 • 4aJe ne comprend pas le25
-
Vérifiée par Alloprof
Secondaire 5 • 4aJe ne comprend pas le 24
-
Vérifiée par Alloprof
Secondaire 5 • 4aBonjour je ne comprend pas le 20
-
Vérifiée par Alloprof
Secondaire 5 • 4aJe ne comprend le numéro 15
-
Vérifiée par Alloprof
Secondaire 5 • 4aJe ne comprend le numéro 13
-
Vérifiée par Alloprof
Secondaire 5 • 4aBonjour,
Ou je peux acheter des livres d'exercices corrigés physiques et chimie
Merci.
-
Vérifiée par Alloprof
Secondaire 5 • 4aEst ce que le point noir c’est la lumière? Et pouvez-vous m’expliquer la phrase en gras? Svp
-
Vérifiée par Alloprof
Secondaire 5 • 4aVoici 2 nouveau problèmes merci de maider pour y répondre
Problemeb#1
Un chargé de Q = 2 uC subit une force électrique de 16N puisqu'elle se trouve plongée dans un champ électrique cree artificiellement. Quelle est la valeur de ce champ électrique
Problème #2
Une charge qui = 15 uC produit un champ électrique autour d'elle.
1.Determinez la grandeur de ce champ électrique si elle est mesurée à une distance de 40 cm de q1
2. Si une charge q2 = 3uC se situe à 40 cm de la charge q1,quelle sera la valeur de la force électrique qu'elle ressentira
?
Merci
-
Vérifiée par Alloprof
Secondaire 5 • 4aBonsoir, je ne sais vraiment pas quoi faire.
Merciii
-
Vérifiée par Alloprof
Secondaire 5 • 4aVoici le problème :
Une lampe est branchée à une prise de courant murale d'une maison. Sur son ampoule il est inscrit 60W. Determinez la valeur du courant qui circule dans l'ampoule de meme que sa resistance. ( indice les prises murales d'une maison sont reliés au réseau hydro-quebec qui fournit une tension de 120V)
Merci de maider car je comprends rien
-
Vérifiée par Alloprof
Secondaire 5 • 4aBonjour
Louis Philippe
La réponse que vous m'avez donner au problème # 1
Pouvez vous me dire comment je fais pour isoler 2 variable car .j'ai essayer mais arrive jamais à la bonne réponse merci
-
Vérifiée par Alloprof
Secondaire 5 • 4aBonjour, je fait un devoir de physique, mais je me réussi pas à comprendre une question. Je sais qu'il faut utiliser un schéma fait de triangle rectangle. Mais je ne suis plus sûre où se trouve le di (distance image) dans ce schéma ni ce que le 4cm représente (entre di/do/hi/ho) dans la question:
"Une source lumineuse sphérique de 4,0cm de diamètre est placée à 20,0cm d'une ouverture circulaire de 8,0cm de diamètre. Quelle sera la grandeur de la plage lumineuse formée sur un écran blanc parallèlement à 50,0cm de l'ouverture circulaire?"
Désolée si j'ai posté cette question deux fois? Ça n'a pas marché la première fois je crois.
Merci!
-
Vérifiée par Alloprof
Secondaire 5 • 4aBonjour
Voici un problème que je ne comprends pas
Merci de me donner la solution
Donc.
Un champ électrique d'une grandeur de 10N/C est produit par une charge q = 14 uC.
A quelle distance de cette charge a été en mesure ce champ électrique
Merci
-
Vérifiée par Alloprof
Secondaire 5 • 4aBonjour
J'ai un problème encore sur la loi de coulomb
Voici;
Deux charges positives et de grandeur identique q subissent une force électrique de 1000N et sont distantes de 8 mm. Determinez la charge de chacune d'entre elles
Merci de bien vouloir m'aider et me donner la solution détaillée
Merci
-
Vérifiée par Alloprof
Secondaire 5 • 4aBonjour
Ceci est une question de physique, concernant la loi de coulomb
J'ai de la misère avec 2 numero en ce moment
Problème #1
Deux charges q= 3uC et Q = - 5uC s'attirent . Déterminez la valeur de la force d'attraction si les charges sont distantes de 5 cm.
Probleme #2
Deux charges q =-8uC et Q =-5uC subissent une force électrique de 150 N.
Determinez la distance qui les sépare.
Pouvez vous me montrer les étapes pour résoudre ces problèmes
Merci
-
Vérifiée par Alloprof
Secondaire 5 • 4aJe ne comprend pas cette question. Pourriez-vous m’aider?
-
Vérifiée par Alloprof
Secondaire 5 • 4aBonjour,
C'est pour une question en physique concernant la loi de coulomb. J'aimerais avoir plus d'explication et aussi a résoudre un problème.
-
Vérifiée par Alloprof
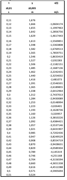
Postsecondaire • 4aVoici les résultats d'un laboratoire de chute libre. La question est la suivante: Selon les résultats obtenus, quelle sera la vitesse au temps zéro? Est-elle différente de la première vitesse de votre tableau si oui, pourquoi et si non, pourquoi?
Je ne sais pas comment y répondre ou l'expliquer, je suis bloquée.
-
Vérifiée par Alloprof
Secondaire 5 • 4aAu B je n'ai pas trop compris la réponse.
-
Vérifiée par Alloprof
Secondaire 5 • 4aBonsoir, je ne comprends pas pourquoi on a fait 4.5 diviser par 15. J'ai un examen :(.
























