Skip to content

Zone d’entraide

Question de l’élève

Secondaire 4 • 4a
  1. Bonjour, j'ai un question ici:
  2. On laisse tomber une pierre de 600g d’une hauteur de 3,0m. 
  3. Quelle est l’énergie potentielle gravitationnelle de la pierre à 3,0 m?
  4. Quelle est l’énergie cinétique de la pierre lorsqu’elle se situe à une hauteur de 0,76m?


Sciences
avatar
avatar

{t c="richEditor.description.title"} {t c="richEditor.description.paragraphMenu"} {t c="richEditor.description.inlineMenu"} {t c="richEditor.description.embed"}

Explications (2)

  • Options
    4a July 2021 modifié

    bonjour,

    Question 4.

    L'énergie mécanique totale est toujours la même, soit celle trouvée à la question 3.

    Énergie cinétique + Énergie potentielle = Énergie mécanique totale

    d'où, à 0,76 m :

    Énergie cinétique + mg·0,76 = mg·3

    → Énergie cinétique = ... Joules

  • Explication d'Alloprof

    Explication d'Alloprof

    Cette explication a été donnée par un membre de l'équipe d'Alloprof.

    Options
    Équipe Alloprof • 4a November 2025 modifié

    Bonjour AvocatTenace6777!

    Pour répondre à ces questions, je t'invite à consulter la fiche AlloProf suivante:


    Tu y trouveras les formules à utiliser et quelques exemples pour t'aider à comprendre l'énergie potentielle gravitationnelle et l'énergie cinétique.

    Je te rappelle que l'énergie potentielle gravitationnelle se calcule avec:

    $$ E_{pg} = m \times g \times \triangle y $$

    Attention aux unités. La masse doit être en kg.

    L'énergie cinétique se calcule avec:

    $$ E_{k} = \frac{1}{2} \times m \times v^2 $$

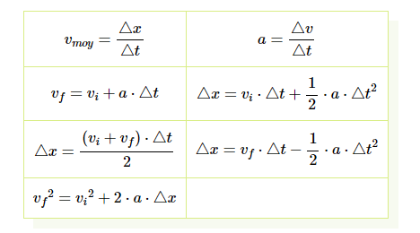
    Tu dois donc trouver la vitesse de la pierre lorsqu'elle est à une hauteur de 0,76m. Pour ce faire, tu peux utiliser une équation parmi celles-ci:

    image.png

    Je te laisse trouver la bonne équation et terminer ton problème. :)

    Voici une fiche AlloProf pour t'aider:



    Charles

Poser une question