Best Of
Re: Question
Bonsoir! Merci de faire appel à nos services! :)
Pour imprimer ton Powerpoint, tu peux aller dans Fichiers (en haut, à gauche), puis dans imprimer.
J'espère que ça répond à ta question! :)
Sarah G
Re: Question
Bonjour,
Merci pour votre question.
S'exercer sera essentiel au développement rapide de l'écriture.
Je vous propose quelques ressources ici pour aider votre enfant à augmenter ses compétences en écriture. Vous y trouverez des conseils, des exercices et des jeux à faire à la maison.
N'hésitez pas à faire appel à nos services à nouveau. 😊
Re: Question
Bonjour,
Pour résoudre ce problème, il te faut dans le premier cas remplacer y dans ton équation par la valeur donnée (donc 0) et trouver ton x en l'isolant. Dans un second cas, il te faut remplacer x dans ton équation par la valeur donnée (donc 0) et trouver ton y en l'isolant.
N'hésite pas à revenir si tu as d'autres questions :)
Bonne journée
Re: Question
Salut,
Merci d'utiliser la zone d'entraide.
Malheureusement, il n'est pas possible de se faire rembourser.
J'espère que tu continues tout de même d'avoir du plaisir à jour à Fin lapin!
À bientôt,
Karen
Re: Question
Bonjour,
Les taux unitaire et équivalent sont tous deux des taux, donc ils expriment une relation sous la forme d'une fraction.
Le taux unitaire a pour dénominateur 1, tandis que le taux équivalent n'a pas cette particularité.
Exemples :
- (12$/h = 12$/1h) est un taux unitaire, car le dénominateur est 1.
- 24$/2h est un taux équivalent, car le dénominateur n'est pas 1.
Il est à noter que les taux équivalents peuvent être vus comme des fractions équivalentes à un taux unitaire.
Par exemple : 4°/h est un taux unitaire équivalent à 8°/2h. (le taux reste le même, mais le dénominateur change)
Voici une fiche utile :
N'hésite pas si tu as d'autres questions !
Bonne journée :)
Re: Question
Salut!
Voici des mots de la même que le mot précis :
Et en voici pour le mot ouvert :
Si tu as d'autres questions, n'hésite pas à nous réécrire! :)
Re: Question
Salut! Je ne peux pas vraiment t’expliquer pourquoi, mais saches qu’avoir un rein seulement est possible car le rein restant peut être quand même en mesure de faire son travail. Pour ta source, esssaye de consulter le site de la Société canadienne du cancer! Ils ont de l’info là-dessus! Je te mets le lien!
Re: Question
Salut SaumonDynamique1034 😁
Merci pour ta question!
Dans ce cas, est-il obligatoire de faire le calcul à la main?
Sinon, tu peux utiliser une calculatrice en ligne, cela pourra t'aider.
Écris-nous si tu as d'autres questions. 😊
À bientôt sur la Zone d'entraide! 😎
Re: Question
Salut!
Si tes données de vitesse sont expérimentales, alors oui, tu dois faire une droite de régression si tu observes une tendance linéaire.
Cependant, si tu traces le graphique de la vitesse en fonction du temps à partir de ton graphique de la position en fonction du temps, alors il ne s'agira pas d'une droite de régression, mais d'une droite tout simplement, puisque tu ne cherches pas à prédire la vitesse, tu l'as calcule théoriquement.
De plus, si ton graphique de la position en fonction du temps est une droite, cela signifie qu'on avance à une vitesse constante (l'accélération est nulle), et donc ton graphique de la vitesse sera une droite horizontale.
J'espère que c'est plus clair pour toi! :)
Re: Question
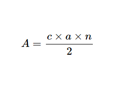
Bonsoir! :) Merci de faire appel à nos services!
Voici la formule de l'aire d'un polygone régulier:
Où
A = Aire
c = mesure des côtés
n = nombre de côtés
Tu n'as donc qu'à remplacer tes variables et à isoler ton c.
Voilà! Au besoin, tu peux consulter les fiches suivantes: https://www.alloprof.qc.ca/fr/eleves/bv/mathematiques/le-perimetre-et-l-aire-des-polygones-reguliers-m1197
N'hésite pas à nous réécrire si tu as d'autres questions! :)
Sarah G




