Best Of
Re: Question
faite une entente avec!! :)
exenple : si il fait ses devoir il a droit a un privilege et si il ne les fait pas il n'a pas de privilege...
Re: Question
Salut! Je pense que la réponse du B est que non, l'influence n'a pas diminué car l'Église, malgré la perte de son pouvoir, reste une source d'information et d'éducation puisqu'elle détient encore les savoirs. Comme le peuple n'était pas éduqué auparavant, l'Église reste en position de choisir quoi enseigner en raison de l'ignorance des gens, puisqu'elle est la seule a avoir de l'information.
Re: Question
Salut :D
Je te propose cette vidéo de révision.
Tente d'équilibrer ton équation par la suite, et confirme avec nous que c'est bien :)
Pour plus d'explications, c'est par ici.
Bon exercice :) À tout de suite :D
Re: Question
Salut :D
Tu dois utiliser cette formule de la concentration molaire pour trouver le nombre de moles (n).
N'oublie pas de convertir ton volume en L.
Une fois le nombre de moles trouvé, tu utilises cette formule pour trouver m.
Bonne résolution :D N'hésite pas à nous montrer comment ça avance. :) À tout de suite :D
Question
En français, il y plusieurs mots que j'ai besoins de m'assurer si le nom est féminin ou masculin. Par exemple : est-ce qu'on dit un éclaire ou une éclaire ? Je voudrais savoir si il y a un truc que je pourrais utiliser pour ne pas avoir a chercher a chaque fois dans le dictionnaire ? De plus ça me ferais plaisir de partager ce petit truc avec les autres car j'ai l'impression que c'est une difficulté que plusieurs d'entre nous rencontrons haha : )
Re: Question
Merci pour ta question!
La théorie des cordes n'est pas souvent invoquée pour expliquer l'origine de notre Univers. Cela dit, certaines de ses interprétations expliquent qu'il y aurait eu un univers avant le nôtre. D'autres interprétations expliquent qu'il n'y avait rien.
Cet article est destiné à un public plus âgé (et est en anglais), mais donne une bonne introduction aux implications de la théorie des cordes pour l'origine de l'Univers :
N'hésite pas si tu as d'autres questions!
Re: Question
Bonjour AvocatJaune9464,
Merci d'avoir utilisé la zone d'entraide pour répondre à tes questions.
D’abord, il est possible que la petite base ait l’air plus grande à cause de son coefficient. Toutefois, je te suggère de porter attention à l'exposant affecté à chaque variable. Cela pourrait t’aider à comprendre pourquoi la petite base semble plus grande que la grande base.
Voici une fiche Alloprof qui pourrait te venir en aide:
https://www.alloprof.qc.ca/fr/eleves/bv/mathematiques/algebre-expressions-algebriques-m1068
N'hésites pas à poser des questions à nouveau,
Ne lâche pas,
OpalePhilosophe7356
Re: Question
Bonjour,
Voici mes explications sur ton développement, je te laisse compléter:
À bientôt! :)
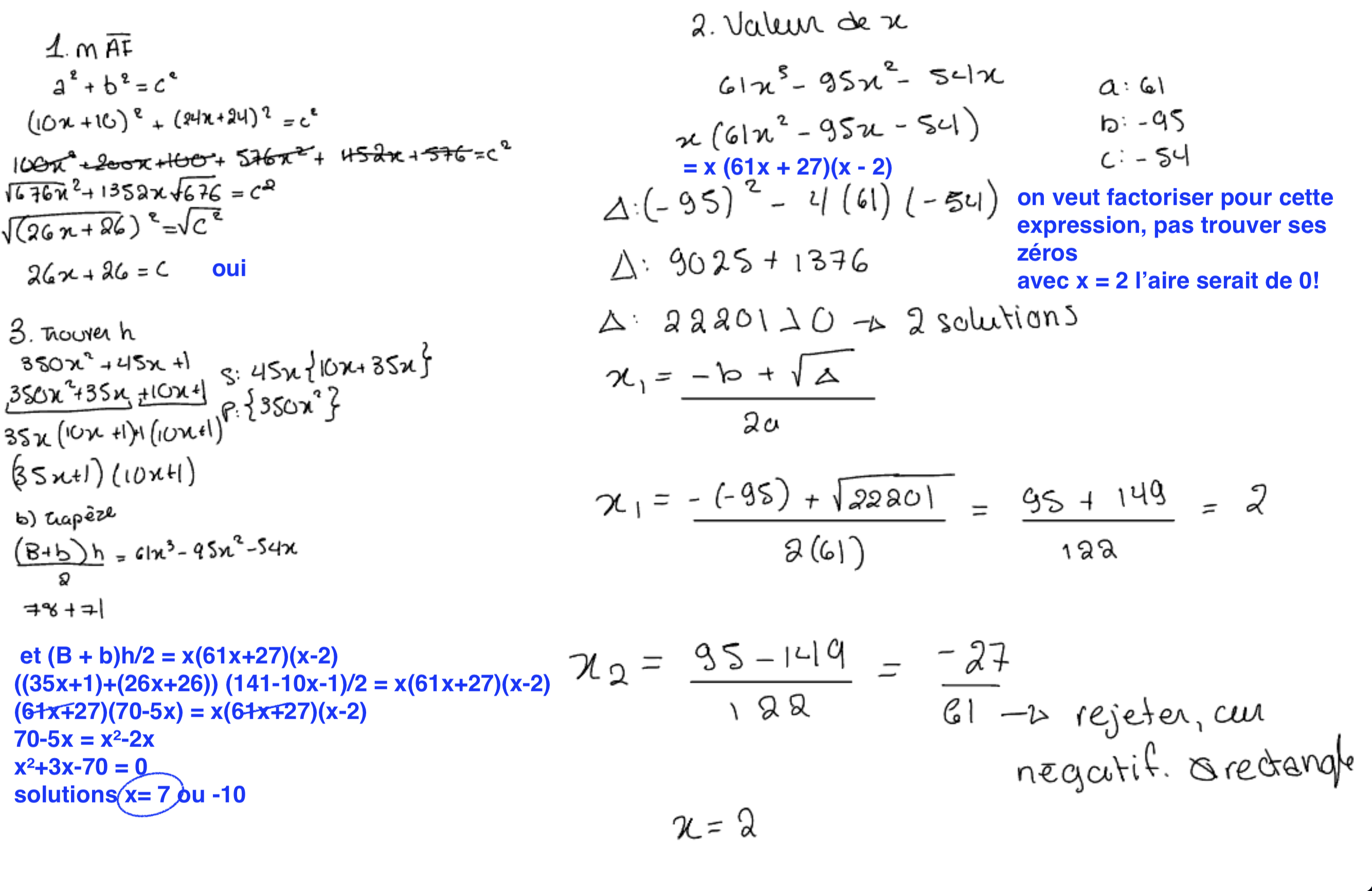
Re: Question
Salut Aigle !
Merci pour ta question !
Voilà comment on calcule Pythagore pour les triangles :
Si un triangle est rectangle , alors le carré de la longueur de son hypoténuse est égal à la somme des carrés des longueurs des deux autres côtés. Exemple 1 : Soit le triangle ABC rectangle en A ([BC] est donc l'hypoténuse), alors BC²=AC²+BA².
Voici une fiche à ce sujet : https://www.alloprof.qc.ca/fr/eleves/bv/mathematiques/le-theoreme-de-pythagore-m1284
J’espère que cela t’a aidé !
À bientôt,
SourisSigma1645


