Best Of
Re: Question
Je te propose fin lapin et meteor math ! C’est mes préférés et il sont adapté pour tout le monde ! Passe une belle journée!
Re: Question
Salut RubisAutonome8358,
Le service "parler à un prof" est effectivement ouvert le jeudi : de 17h à 20h!
Tu étais juste un petit peu trop tôt! Si tu y vas en ce moment tu verras que nos supers profs sont présent et disponibles pour répondre à tes questions! :)
Alexandra
Re: Question
Salut DiamantZen5432!
Merci pour ta question. 🤩
Pour trouver la réponse de cette multiplication, tu devras procéder à l'aide la multiplication par colonnes!
Pour te rafraîchir la mémoire sur cette méthode, je t'invite à visionner cette capsule!
En espérant que cela répond à ta question. Si tu en as d'autres, n'hésite surtout pas à nous réécrire, il nous fera plaisir de t'aider à nouveau!
À bientôt,
Océane :)
Re: Question
Salut,
Merci d'utiliser la zone d'entraide.
C'est difficile pour moi de t'aider puisque je n'ai pas le texte auquel tu réfères.
Il est donc difficile de t'aider spécifiquement. Néanmoins, cette fiche pourra t'aider à répondre adéquatement aux questions de lecture, en attendant:
N'hésite pas à revenir nous voir en mettant une photo du texte pour que nous puissions mieux t'accompagner.
À bientôt,
Karen
Question
j'aurais besoin de savoir quelle son les marqueurs de modalité
Vocabulaire connoté
Auxiliaire
phrase de forme emphatique
Re: Question
Salut !
Les distances peuvent être calculer à l'aide des coordonnées des points. Par exemple, si tu veux calculer la distance entre A et B, il te faut les coordonnées de A et B. Lorsque tu as les coordonnées tu peux calculer la distance comme suit :
$$ \text{dist}(A,B)=\sqrt{(x_{2}-x_{1})^{2}+(y_{2}-y_{1})^{2}} $$
Le plus difficile sera de trouver les coordonnées de D. Tu as son \(x\), mais il te manque le \(y\). Pour ce faire, il te faudra trouver la pente de la droite AB. Et comme AB est parallèle à CD, la pente de CD est la même que AB. Et tu peux trouver la règle de CD. À partir de là, je te laisse essayer par toi-même !
J'espère que cela ait pu t'aider et si tu as d'autres questions, n'hésite pas !
Bonne journée !
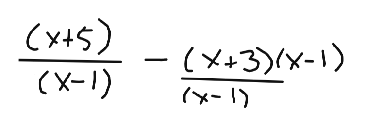
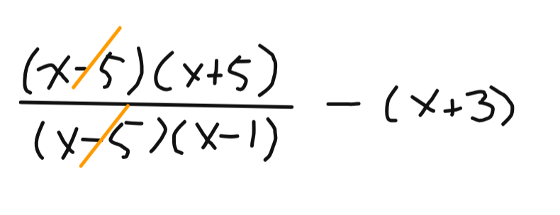
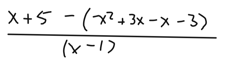
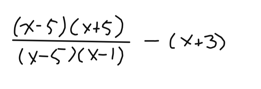
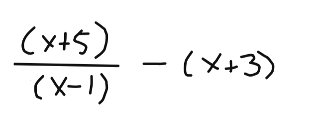
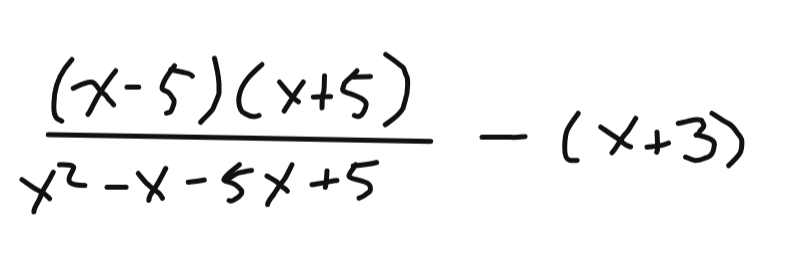
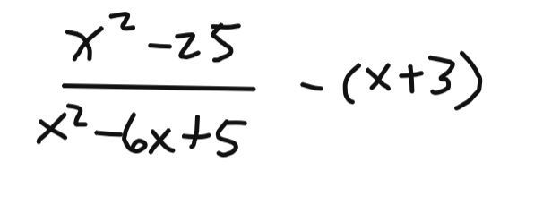
Re: Question
Salut !
Ici, il s'agit de division de polynôme par un binôme. Voici une fiche sur le sujet qui en explique les étapes avec des exemples.
De plus, comme rien ne vaut que des images, voici une vidéo sur le sujet :
Je te propose donc de commencer à faire ces exercices, et si tu as des questions plus spécifique, n'hésite pas à revenir !
Bonne journée !
Re: Question
Salut TitanAlpha4254! :)
C'est une excellente constatation que tu as faite là! Il y a effectivement un CD avec le verbe cueillir, dans la deuxième partie de la phrase!
Je crois que l'exercice ne le considère pas comme une bonne réponse puisque le premier verbe souvenir, n'en a pas. Je vais le mentionner aux équipes concernées, pour régler la confusion! :)
Je te remercie de nous en avoir fait part, et surtout félicitations tu es vraiment un/e pro des compléments directs du verbe! ;)
La prochaine fois, tu peux utiliser directement ce lien, si tu veux, pour nous conseiller une amélioration ou une correction : https://alloprof-ti.atlassian.net/servicedesk/customer/portal/6/group/37
À bientôt,
Alexandra
Re: Question
Bonjour PistacheSolidaire228,
C'est une excellente question. En fait, nous ne pouvons pas assurer qu'absolument tous les mots des listes du ministère se trouvent dans la banque de mots. On retrouve également, dans la banque de mots de Magimot et Voca, des mots qui ne se trouvent pas dans les listes proposées par le ministère.
Ces jeux sont un bel outil pour apprendre les mots de vocabulaire et si vous le souhaitez, vous pouvez créer votre propre liste de mots.
- Voici la démarche pour un élève : https://www.alloprof.qc.ca/zonedentraide/discussion/104076/question/p1#Comment_134925
- Voici la démarche pour un enseignant : https://www.alloprof.qc.ca/helpzone/discussion/105727/question/p1
N'hésitez pas si vous avez d'autres questions!
Alexandra

