Best Of
Re: Question
Moi j’aurai dit 0,0058. Enfaite il faut que tu regarde toutes tes données, puis tu regarde celui qui a le plus petits nombre de chiffres significatifs soient 0,14 L (basée sur le calcul que tu ma donner) donc il faut 2 chiffres significatifs dans ta réponse et tu arrondi.
Re: Question
Bonjour!
Une phrase subordonnée est un ajout à une phrase déjà existante. Cela signifie donc qu'on peut l'effacer!
Aussi, dans le cas des subordonnées relatives (comme dans ton exemple), il est possible de séparer la phrase en deux phrases distinctes : P1 et P2.
Essayons :
P1 : La bête était énorme.
P2 : La bête surgit devant nous.
Le contenu de la P2 est en fait la subordonnée!
Pour en savoir plus sur la subordination, je t'invite à consulter la fiche ci-dessous :
Si tu as d'autres questions, n'hésite pas à nous réécrire. Nous te répondrons avec plaisir!
Laurie :)
Re: Question
Bonjour DiamantVirtuose3088,
Merci pour ta question!
Tu peux laisser l'écart moyen en forme décimale. Si tu veux un exemple concret, je te suggère d'aller consulter cette fiche explicative :
N'hésite pas si tu as d'autres questions!
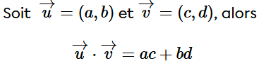
Re: Question
Salut !
Il s'agit de produits scalaires.
Tu peux imaginer A comme étant l'origine du plan.
J'espère que cela ait pu t'aider et si tu as d'autres questions, n'hésite pas !
Bonne soirée !
Re: Question
Bonjour QuartzRaisonnable,
Merci pour ta question!
Au début de la procédure de titrage, on laisse couler la solution librement, et non pas en goutte par goutte. C'est à la fin du titrage, par souci de précision, qu'on utilise le goutte à goutte.
Cette vidéo devrait t'aider à mieux le visualiser:
N'hésite pas si tu as encore besoin d'aide:)
Kylan
Re: Question
Salut,
Merci d'utiliser la zone d'entraide.
Le jeu Magimot est toujours disponible, tu peux jouer en cliquant sur le lien suivant:
Amuse-toi bien!
Karen
Re: Question
Bonjour ZombieBionique,
Merci pour ta question!
Ta formule me semble correcte. Pour ce qui est de R, il s'agit d'une constante qui possède plusieurs décimales certaines. Tu peux donc considérer qu'il n'y a pas d'incertitude sur R, et ne pas en tenir compte dans ta formule d'incertitude.
N'hésite pas si tu as encore besoin d'aide:)
Kylan
Re: Question
Bonjour!
L'écriture utilisée par cette civilisation se nomme Jiăgŭwén. Il s'agit d'une forme d'écriture logographique, c'est-à-dire que les symboles représentent des mots complets!
Si tu as d'autres questions, n'hésite pas à nous réécrire. Nous te répondrons avec plaisir!
Laurie :)
Re: Question
Bonjour!
Afin d'identifier plus facilement des figures de style, je te suggère de te créer un aide mémoire avec le nom et la définition de chaque figure. Ainsi, lorsque tu liras un texte, tu auras une vue d'ensemble rapide qui t'aidera à repérer les figures.
Dans le cas de cette phrase, je porterais une grande attention aux métaphores!
Si tu as d'autres questions, n'hésite pas à nous réécrire. Nous te répondrons avec plaisir!
Laurie :)
Question
Bonjour, dans ce numéro, je ne comprend pas pourquoi les réponse sont donner en une multiplication de vecteur quand sa devrai être une multiplication de segments à cause qu'à la fin, je multiplie des segments à cause des composantes que je multiplie, pouvez-vous m'aider svp?? Merci à l'avance

