Ce contenu est protégé par le droit d'auteur. Toute reproduction à l'extérieur des forums Alloprof est interdite et pourra être considérée comme une violation du droit d'auteur.
Je crois que je comprends pas comment factoriser. Je suis bloquée ici.
Tout d'abord, l'ordonnée à l'origine est la valeur de y lorsque x=0 :
Ce contenu est protégé par le droit d'auteur. Toute reproduction à l'extérieur des forums Alloprof est interdite et pourra être considérée comme une violation du droit d'auteur.
Ainsi, l'ordonnée à l'origine ne se trouve pas sur l'axe des x (ça c'est l'abscisse à l'origine), mais plutôt sur l'axe des y.
Par exemple, si l'ordonnée à l'origine était de 2, alors les coordonnées du point de l'ordonnée à l'origine seraient (0, 2) (car x=0 et y=2), et le paramètre \(c\) serait égal à 2, car dans une fonction polynomiale de degré 2, le paramètre \(c\) représente l'ordonnée à l'origine.
Est-ce que le point (2, 0) est un point donné par l'énoncé de l'exercice? Si c'est le cas, alors ton calcul ici est juste :
Ce contenu est protégé par le droit d'auteur. Toute reproduction à l'extérieur des forums Alloprof est interdite et pourra être considérée comme une violation du droit d'auteur.
Tu as inséré les coordonnées du point (2, 0) dans l'équation, puis résolu celle-ci pour trouver la valeur de la variable \(c\). Tu n'as pas factorisé.
Ensuite, maintenant que tu as l'équation complète de la fonction, tu peux trouver les zéros en remplaçant y par 0, comme tu l'as fait ici :
Ce contenu est protégé par le droit d'auteur. Toute reproduction à l'extérieur des forums Alloprof est interdite et pourra être considérée comme une violation du droit d'auteur.
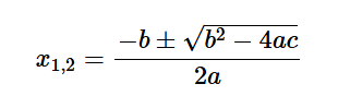
Pour résoudre cette équation de second degré, il y a différentes techniques possibles, dont la factorisation. Or, je te conseille d'utiliser la formule quadratique, c'est la façon la plus rapide et la plus facile selon moi de résoudre une équation de second degré. Tu n'as qu'à insérer les coordonnées a, b et c dans cette formule :
Ce contenu est protégé par le droit d'auteur. Toute reproduction à l'extérieur des forums Alloprof est interdite et pourra être considérée comme une violation du droit d'auteur.
Explanation from Alloprof
This Explanation was submitted by a member of the Alloprof team.
Salut!
Tout d'abord, l'ordonnée à l'origine est la valeur de y lorsque x=0 :
Ce contenu est protégé par le droit d'auteur. Toute reproduction à l'extérieur des forums Alloprof est interdite et pourra être considérée comme une violation du droit d'auteur.
Ainsi, l'ordonnée à l'origine ne se trouve pas sur l'axe des x (ça c'est l'abscisse à l'origine), mais plutôt sur l'axe des y.
Par exemple, si l'ordonnée à l'origine était de 2, alors les coordonnées du point de l'ordonnée à l'origine seraient (0, 2) (car x=0 et y=2), et le paramètre \(c\) serait égal à 2, car dans une fonction polynomiale de degré 2, le paramètre \(c\) représente l'ordonnée à l'origine.
Est-ce que le point (2, 0) est un point donné par l'énoncé de l'exercice? Si c'est le cas, alors ton calcul ici est juste :
Ce contenu est protégé par le droit d'auteur. Toute reproduction à l'extérieur des forums Alloprof est interdite et pourra être considérée comme une violation du droit d'auteur.
Tu as inséré les coordonnées du point (2, 0) dans l'équation, puis résolu celle-ci pour trouver la valeur de la variable \(c\). Tu n'as pas factorisé.
Ensuite, maintenant que tu as l'équation complète de la fonction, tu peux trouver les zéros en remplaçant y par 0, comme tu l'as fait ici :
Ce contenu est protégé par le droit d'auteur. Toute reproduction à l'extérieur des forums Alloprof est interdite et pourra être considérée comme une violation du droit d'auteur.
Pour résoudre cette équation de second degré, il y a différentes techniques possibles, dont la factorisation. Or, je te conseille d'utiliser la formule quadratique, c'est la façon la plus rapide et la plus facile selon moi de résoudre une équation de second degré. Tu n'as qu'à insérer les coordonnées a, b et c dans cette formule :
Ce contenu est protégé par le droit d'auteur. Toute reproduction à l'extérieur des forums Alloprof est interdite et pourra être considérée comme une violation du droit d'auteur.
Pour les autres techniques, la fiche suivante pourrait t'être utile : Résoudre une équation ou une inéquation de degré 2 | Secondaire | Alloprof
Voilà! J'espère que c'est plus clair pour toi! :)