Populaires
Re : Question
Bonjour!
Je transmet ton intérêt à la personne responsable des pros! :)
Laurie :)
Re : Question
Si la somme des mesures des angles interieurs d'un trapeze est de 360 degrés, et que la mesure de l'angle A est 90 degrés ( car c,est un angle droit) et mesure de l'angle B est 90 degrés ( aussi pcq c'est un angle droit). mesure de l'angle C est égal a 108 degrés, donc, mesure de l'angle D (du trapeze) va etre 360-180-90-90= 72 degrés. Mesure de l'angle D ( du triangle)= 180-72=108 degrés, car ils sont supplémentaires. Mesure de l'angle A (du triangle) est 108 degrés et mesure de l'angle E est 108 degrés ( puis que le triangle est Equilatéral).
j'éspére que ca va t'aider :)
Re : Question
Salut!
Tu as la fonction f(x) = 2sin7(x-2π). On cherche les valeurs de x pour lesquelles y=√3.
Puisque le domaine d'une fonction sinus va de l'infini négatif à l'infini positif, il y a une infinité de points à y=√3.
Sur le graphique suivant, on a notre fonction f(x) en rouge, et y=√3 en mauve. Tous les points d'intersection de y=√3 et f(x) sont les points que l'on cherche, c'est-à-dire les points de la fonction sinus ayant une ordonnée de √3.
Si on ne te précise pas d'intervalle de x, alors ta réponse doit inclure cette infinité de points à y=√3. Cependant, dans ce numéro, on te dit que x doit être compris entre 10π/7 et 13π/7.
Si on traduit ceci, on obtient "x est élément de 10π/7 à 13π/7 inclusivement".
Donc, tu dois trouver les points de la fonction sinus à y=√3 qui sont entre x=10π/7 et x=13π/7. Tu dois trouver les quatre points suivants en rouge :
Pour faire cela algébriquement, tu peux commencer par résoudre ton équation :
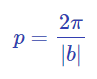
Puis, tu devras calculer la période de la fonction avec le paramètre b :
Tu pourras ensuite additionner ou soustraire la période des valeurs de x trouvés, jusqu'à ce que tu atteignes l'intervalle de x désiré.
Par exemple, si tu veux être dans l'intervalle x∈[5, 8], tu as une période de 2 et en résolvant l'équation tu obtiens x=1, alors tu procéderas comme ceci :
x = 1 + 2 = 3,
puis x = 3 + 2 = 5,
puis x = 5 + 2 = 7,
puis x = 7 + 2 = 9
On a additionné la période de 2 à notre x jusqu'à ce qu'on trouve des valeurs de x qui se situent dans l'intervalle désiré. Nos x dans l'intervalle [5,8] sont donc x=5 et x=7.
Voici une fiche sur cette notion qui pourrait t'être utile : Résoudre une équation ou une inéquation trigonométrique | Alloprof
J'espère que c'est plus clair pour toi! :)
Re : Question
Bonjour GiganotosaureRouge,
Merci pour ta question!
Le mécanisme des roues de friction présente plusieurs avantages:
- Permet de modifier la vitesse de rotation des composants.
- Permet de changer l’axe du mouvement de rotation.
- Fait peu de bruit.
- Se construit facilement et à faible cout.
Pour plus d'informations sur les roues de friction, tu peux consulter cette fiche explicative:
N'hésite pas si tu as encore besoin d'aide:)
Kylan
Re : Question
Bonjour DodoMauve5476
Merci d'utiliser la zone d'entraide pour te venir en aide.
C'est tout à fait normal de ne pas comprendre au début, je vais pouvoir t'aider.
Premièrement je te conseille de lire ces fiches Alloprof, mais je peux te guider aussi. Si tu additionnes deux nombre négatifs, tu peux tout simplement faire une addition des deux nombres comme si ils étaient positifs, mais rajouter un moins(-) lorsque tu donnes ta réponse. Si tu soustraits un nombre positif à un nombre négatif c'est l'équivalent de les additionner comme si ils étaient positifs, mais de rajouter un moins(-) à la fin. Si tu additionnes un nombre négatif et un positif je te conseille la technique de la droite. place le nombre négatif sur une droite numérique et avance vers l'avant( la droite) l'équivalent du nombre positif. Si tu soustrait un nombre négatif à un nombre positif, c'est l'équivalent de faire une addition avec deux nombres positifs. Si tu fais une division ou une multiplication, fait la normalement, mais dans ton résultat, tu devras mettre un signe négatif si tes nombres étaient de signes contraires et si ils étaient du même signe ton résultat est alors positif.
N’hésites surtout pas à revenir nous voir si tu as des questions,
Bonne continuation,
DiamantComique1887
Re : Question
Bonjour DiamantFantastique633,
Est-ce que dans ton problème de mathématique ils disent combien il y a de fruit en tout ? Si oui. Alors tu doit additionner les pommes et les oranges et les soustraire avec le tout des fruits.
J'espère que ca t'aura aider.
Re : Question
Bonjour!
Voici comment résoudre cette expression
$$\frac{3}{4}ab-(6+\frac{ab}{2})+8 $$
On peut commencer par éliminer la parenthèse en distribuant le signe négatif à l'intérieur de celle-ci, comme ceci :
$$\frac{3}{4}ab-6-\frac{ab}{2}+8 $$
On peut ensuite additionner les constantes -6 et 8 :
$$\frac{3}{4}ab-\frac{ab}{2}+2 $$
Puis, on doit additionner les termes semblables. Pour ce faire, il faut mettre les fractions 3/4 et 1/2 sur le même dénominateur. Le PPCM de 4 et 2 est 4, donc 1/2 deviendra 2/4 :
$$\frac{3}{4}ab-\frac{1\times2}{2\times2}ab+2 $$
$$\frac{3}{4}ab-\frac{2}{4}ab+2 $$
On peut ensuite soustraire les numérateurs :
$$\frac{3-2}{4}ab+2 $$
$$\frac{1}{4}ab+2 $$
$$\frac{ab}{4}+2 $$
Voilà! J'espère que c'est plus clair pour vous! :)
Re : Question
Mais sur ce que tu nous présentes tu as écrit x = 3y.
Alors tu avais commencé avec y = 3x ?
Dans la solution que tu présentes, tu as choisi x comme étant ton volume d'eau et y le volume de vinaigre.
Peut-être qu'auparavant quand tu as utilisé y = 3x c'est parce que tu avais choisi x comme étant le volume de vinaigre et y le volume d'eau?
Dans les deux cas il n'y a pas de problème tu arriveras à la même réponse.







