Populaires
Re : Question
Bonjour DiamantSage7317,
Dans chaque cas, tu dois isoler la partie entière et résoudre l'inéquation. Cela te donnera les intervalles de solution.
Rappel: la partie entière d'un nombre, notée [x],correspond à l'unique nombre entier tel que [x]≤x<[x]+1
Re : Question
Salut!
On cherche la partie entière d’un nombre inconnu qui donne 8.
Ce nombre peut seulement être compris entre 8 inclusivement et 9 exclusivement. Par exemple, la partie entière de 8 est 8, la partie entière de 8,6 est 8, la partie entière de 8,9999… est 8, mais la partie entière de 9 est 9! Donc, on sait que l’expression à l’intérieure de la partie entière doit être dans l’intervalle [8,9[, c’est pourquoi on a la double inégalité.
Voici une fiche sur cette notion qui pourrait t’être utile : https://www.alloprof.qc.ca/fr/eleves/bv/mathematiques/resoudre-une-equation-partie-entiere-m1456
J’espère que c’est plus clair pour toi! :)
Re : Question
Bonjour DiamantSage7317,
On a appliqué la définition de la fonction partie entière: la partie entière d'un nombre, notée [x],correspond à l'unique nombre entier tel que [x]≤x<[x]+1.
Donc, [-(x+1)]=8 se résoudra: 8≤-(x+1)<[8]+1
8≤-(x+1)<9
C'est tout ;)
Re : Question
Salut à toi !
Merci pour ta question. :)
La Zone d’entraide n’est malheureusement pas un service de correction, mais plutôt un service d’entraide. Je vais toutefois tenter de te pister pour cette fois-ci. :)
Tout d’abord, oui, ton texte a du sens et présente une bonne structure !
Ensuite, je te suggère de revoir dans ton deuxième paragraphe les temps de verbe puisque tu n’utilises pas des temps de verbe passé.
Je te suggère également de revoir tes accents sur certaines lettres.
Dans son ensemble, c’est un super texte !
N’hésite pas si tu as d’autres questions. :)
Océane
Re : Question
Bonjour OrRose8414,
Il faut comprendre que ''x'' représente le nombre de tablettes de chocolats vendues par Maryse l'an dernier.
Cette année, elle en vend deux fois plus, donc 2x. La quantité vendue sera égale au résultat de 120-24 (parce que 24 de moins que 120): il te faudra résoudre 2x= 96 pour trouver ta solution.
Re : Question
Salut Bleuet !
Merci pour ta question. :)
Cette fiche devrait t'éclairer à ce sujet, je t'invite donc à la consulter !
N'hésite surtout pas à nous réécrire si tu as d’autres questions !
Océane :)
Re : Question
Salut !
Voici les fiches qui pourraient être utiles :
N’hésite pas si tu as d’autres questions !
Océane :)
Re : Question
Allô,
Il est vrai que la préparation pour des évaluations durant un gel d'horaire peut être différente par rapport aux évaluations plus "régulières".
Afin de bien te préparer, il est important de connaître tes limites et de bien gérer ta concentration étant donné que la période d'écriture est souvent plus longue et plus intense.
Voici une fiche de notre bibliothèque virtuelle qui pourrait t'aider à ce sujet:
Je te laisse y jeter un coup d'oeil et reviens-nous voir au besoin.
Bonne journée.
Vincent
Re : Question
Salut :D
Premièrement, la formule moléculaire d’un sel débute par un métal et se termine par un non-métal ou par un groupe d'atomes.
La formule d’un sel peut également débuter par le groupe d'atomes NH4 qui pourra être lié à un non-métal ou à un groupe d'atomes.
Les substances formées par deux non-métaux, comme la molécule PCl3, ne sont pas des sels.
Les substances formées par un métalloïde et un non-métal, comme la molécule CCl4, ne sont pas des sels.
Deuxièmement, une solution dont le pH est égal à 7 sera neutre.
Re : Question
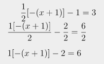
Bonjour DiamantSage7317,
A la deuxième étape de la démarche, on a tout simplement mis tous les termes en fraction sur 2:
Et tu continues à isoler en faisant les opérations inverses.



