Liste de discussions
-
Vérifiée par Alloprof
Secondaire 4 • 3aBonjour, je voulais savoir comment décider les chiffre pour faire une conjecture et comment savoir si c'est les bons?
Merci d'avance :)
-
Vérifiée par Alloprof
Secondaire 2 • 3aBonjour , j'ai une examen sur les statistiques et les probabilités est ce que vous avez de bon exercices pour se pratiquer ? merci
-
Vérifiée par Alloprof
Primaire 6 • 3aBonjour,
C'est quoi une diagramme?
ex:
Diagramme a bande,
diagramme circulaire,
diagramme a pictogramme,
diagramme a arbre
Merci
-
Vérifiée par Alloprof
Secondaire 3 • 3abonjour, alloprof.
je voudrais savoir pourquoi le A) serais faux ! ( tenant compte que je croyais que la reponse etait sois le A) ou le c) mais je ne comprend pas pourquoi le A) ne serais pas bon )merci de me repondre !
OrignalTranquille8078.
-
Vérifiée par Alloprof
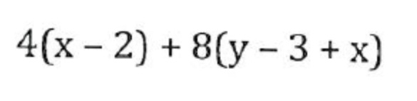
Secondaire 4 • 3abonjour, je n’arrive pas à comprendre le problème, pouvez-vous me donner des explications svp:)
-
Vérifiée par Alloprof
Secondaire 1 • 3aBonjour ! J’ai du mal à comprendre comment écrire cette fraction sous forme réduite. Est-ce que ce serait possible d’avoir un coup de pouce? Merci !
-
Vérifiée par Alloprof
Postsecondaire • 3aBonjour, je suis en calcul differenciel au cegep et j'ai de la difficultée à trouver la dérivée seconde de cette équation:
-
Vérifiée par Alloprof
Secondaire 3 • 3aBonjour, je ne suis pas sûr de comprendre comment faire ce numéro (le 29) merci d’avance!
-
Vérifiée par Alloprof
Primaire 6 • 3aBonjour,
est-ce que quelqu'un d'un niveau de secondaire pourrait me dire si les examens du ministère de 6ième année du primaire ont étés compliqués pour eux .
Puisque demain , on a le premier examen qui est de lecture et .. voilà . Mais j'aimerais plus savoir si les mathématiques ont étés difficiles pour vous .
Merci de répondre à ma question au plus vite.
À bientôt ,YuzuTimide <3
-
Vérifiée par Alloprof
Secondaire 1 • 3aJe comprend pas ceci j'ai même regarder une vidéo sur allo prof et je comprend toujours pas
-
Vérifiée par Alloprof
Secondaire 4 • 3aCoucou tout le monde! Je suis en secondaire 4 et je fais la scolarisation à domicile. Mes épreuves ministérielles s'en viennent et je ne sais vraiment pas comment m'y préparer :/ Je m'inquetes plus pour les maths (CST). Est-ce que quelqu'un aurait des trucs? Aussi, comment puis-je faire pour avoir des anciens examens du ministère?
Merci d'avance!
-
Vérifiée par Alloprof
Primaire 6 • 3aSalut!
Est ce que se serait possible d'avoir des sites et vidéos sur le cercle ( diamètre , rayon ) ?
Merci en avance 😉
-
Vérifiée par Alloprof
Secondaire 2 • 3aBonjour,
pouvez-vous m’aider je n’arrive pas à continuer à régler ce problème en math j’ai fait l’aire du bassin, mais je ne sais pas comment trouver la largeur du pourtour de pierres de rivière?
merci en avance
-
Vérifiée par Alloprof
Secondaire 1 • 3aBonjour ! J’ai beaucoup de mal à trouver une réponse à ces deux problèmes d’algèbres. Est-ce que quelqu’un pourrait m’expliquer comment faire pour résoudre ces problèmes ?
-
Vérifiée par Alloprof
Primaire 4 • 3aExplications pour la décomposition de nombres decimaux svp
-
Vérifiée par Alloprof
Secondaire 4 • 3a(Partie 2)
Je ne comprends pas cette exercise malheureusement
-
Vérifiée par Alloprof
Secondaire 4 • 3a(Partie 1 de mon problème)
Je n’arrive pas à comprendre comment trouver la médiatrice de l’hypoténuse de ce triangle :s
-
Vérifiée par Alloprof
Primaire 4 • 3aJe comprend pas comment resoudre ce probleme esque vous pouvez m’aider
Ily a 80 billes dans une boîte. Les 1/5 sont
rouges, les 3/10 sont jaunes, les 1/4 sont
bleues, le reste des billes sont roses. Combien
de billes il y a de chaque couleur.
-
Vérifiée par Alloprof
Secondaire 3 • 3aJ’ai besoin de traduire cet situation en inéquation mais j’arrive pas à trouver l’inconnu:
Pour financer son voyage de fin d'année, Gaïa fabrique un certain nombre de bracelets qu'elle vend 7,50 $ chacun. Elle a besoin de plus de 540 $
-
Vérifiée par Alloprof
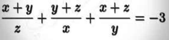
Primaire 1 • 3aBonjour,je suit an 1 année est je ne suit pa capabe de rédoude se probleme.
Pouver vous me dir coment on trouve x,y et z
-
Vérifiée par Alloprof
Secondaire 4 • 3aQuelqu'un pourrait m'aider avec ce numéro s'il-vous-plaît?
(numéro 6)
-
Vérifiée par Alloprof
Secondaire 2 • 3aBonjour, j'ai de la difficulté à écrire les phrases sous forme d'expressions algébriques.
Exemple : La moitié de la somme du quadruple d'un nombre et 11.
Pouvez-vous m'aider s'il vous plaît.
Merci beaucoup,
-PerroquetMauve8222
-
Vérifiée par Alloprof
Primaire 6 • 3aje ne comprend pas comment résoudre le problème.
-
Vérifiée par Alloprof
Primaire 4 • 3aje me demande pourquoi n'i a t'il pas des table mathématique dans les millions?
merci
-
Vérifiée par Alloprof
Secondaire 5 • 3aBonsoir,
Je suis en math SN5 et j'aurai une question concernant la fonction exponentielle.
Est-ce que ces 2 fonctions ne sont pas réciproques l'une de l'autre parce qu'elles sont dans le même quadrant? ( f(x) = (2)^x et g (x) = (0,5)^x)?
Merci et bonne soirée! ;)
-
Vérifiée par Alloprof
Secondaire 5 • 3aBonsoir,
Je suis en math SN5 et j'aurai une question en lien avec la fonction exponentielle.
Comment savoir quelle courbe va avec quelle fonction?
D'après le corrigé, je comprends que plus le c est petit, plus ma fonction tend vers la droite, contrairement au fait que plus il (c : mon c) est grand, plus ma fonction tend vers la gauche.Merci et bonne soirée! ;)
-
Vérifiée par Alloprof
Secondaire 5 • 3aBonsoir,
J'aurais une petite question... (Je suis en math SN5.)
Bon, peut-être que ça va avoir l'air banal, ce que je vais vous demander, mais me conseiller vous de mettre les puissances à connaître par cœur, même si j'ai le droit à une calculatrice pour mes examens finaux.
Je me suis dit que non, mais en même temps, peut-être qu'elles vont me servir pour la partie log...
Merci et bonne soirée! ;)
-
Vérifiée par Alloprof
Primaire 5 • 3aS’ils font 33 tirages en remettant à chaque fois la lettre tirée dans le sac, quelle est la probabilité de tirer la lettre B une voyelle ou une consonne ?
-
Vérifiée par Alloprof
Secondaire 3 • 3aComment calcule t on la médiane dans un donnée groupé
-
Vérifiée par Alloprof
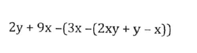
Secondaire 3 • 3aJe ne comprends question 2 jai juste trouver 3 erreurs

















