Liste de discussions
-
Vérifiée par Alloprof
Primaire 4 • 3aVous avez des exercices sur les multiplications?
-
Vérifiée par Alloprof
Primaire 4 • 3aVous avez des exercices de résolution de problème a me donner?
-
Vérifiée par Alloprof
Secondaire 4 • 3aBonjour, je n’arrive pas à déterminer de quelle forme d’équation (général, canonique, factorisée) pouvez-vous m’aider?
-
Vérifiée par Alloprof
Secondaire 2 • 3aBonjour j'aimerais de l'aide pour résoude mon problème : Les probabilités de précipitation de 3 journées sont données dans le tableau ci-contre . Calcule la probabilité qu'il pleuve au plus pendant une de ces 3 journées . ( maximum une fois)
Lundi : 35%
Mardi : 10%
Mercredi : 65%
-
Vérifiée par Alloprof
Secondaire 3 • 3abonjour, j’espère que vous allez bien.
je comprend vraiment pas comment calculer ce problème et j’apprécierais énormément votre aide.
merci beaucoup
-
Vérifiée par Alloprof
Secondaire 4 • 3aComment en fait pour trouver la coordonnées D
Merci
-
Vérifiée par Alloprof
Secondaire 4 • 3aEst ce que on pourrait m’aider pour sa svp merci
-
Vérifiée par Alloprof
Secondaire 5 • 3aSalut! est-ce que quelqu’un pourrait me montrer comment démontrer l’identité encadrée?
-
Vérifiée par Alloprof
Primaire 5 • 3aAriane stationne sa voiture au deuxième étage du stationnement sous-terrain de l'hôpital. Elle se rend à son rendez-vous, à la salle située au dixième étage. Combien d'étages en tout Ariane a-t-elle montés?
-
Vérifiée par Alloprof
Secondaire 2 • 3aJ'ai une question, j'ai cherché sur le site mais je n'est pas trouvé les informations sur les situations partiellement proportionnelle. Je n'arrive pas à trouver comment trouver la valeur de départ. Pouvez-vous m'aider ?
-
Vérifiée par Alloprof
Secondaire 1 • 3aBonjour,
Pouvez-vous m'envoyer des exercices à propos des liens entre les angles, alternes-externes, alternes-internes, etc.
Merci en avance,
SaturneMagnifique4926
-
Vérifiée par Alloprof
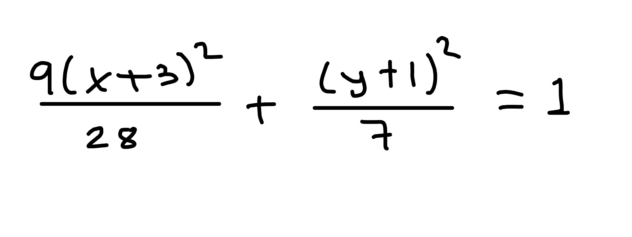
Secondaire 5 • 3aBonjour!
je n’étais pas complètement sure de comment trouver mon paramètre « a » dans l’ellipse ci-dessous.. est-ce la racine carrée de 9/28 ou..?
-
Vérifiée par Alloprof
Secondaire 2 • 3aComment calculer le périmètre à partir de l'aire ?
-
Vérifiée par Alloprof
Primaire 6 • 3aest ce que c'est possible d'apprendre l'algèbre en addition, soustraction, multiplucation et division en 6ème
-
Vérifiée par Alloprof
Secondaire 4 • 3aJe n’arrive pas à faire ce problème
-
Vérifiée par Alloprof
Secondaire 1 • 3aMax a un sac qui contient 2 billes rouges, 3 billes bleus et 5 billes vertes. Il effectue le tirage d'un certain nombre de billes, sans remise et en tenant compte de lordre des résultats.
Quel est le nombre minimal de tirages que mac doit faire pour que l'événement "toutes les billes tirées sont de la même couleur" soit impossible?
-
Vérifiée par Alloprof
Primaire 5 • 3aJe ne comprend pas comment transformer les millilitre en litre
-
Vérifiée par Alloprof
Primaire 3 • 3aJe n ai pas compris Merci d avance
-
Vérifiée par Alloprof
Postsecondaire • 3aCe petit test comporte 30 questions, chacune ayant 5 choix de réponses. Si quelqu'un choisit ses réponses au hasard, quel résultat peut-il espérer obtenir si chaque bonne réponse vaut 3 points?
-
Vérifiée par Alloprof
Secondaire 4 • 3aBonjour, est ce que quelqu’un pourrait m’aider à faire ce numéro svp?
-
Vérifiée par Alloprof
Secondaire 4 • 3aComment en fait ça ?
-
Vérifiée par Alloprof
Primaire 6 • 3acomment apprendre l'algèbre en 6ème
-
Vérifiée par Alloprof
Secondaire 1 • 3aBonjour,
Pour mon devoir je dois identifier les différents types d'angles dans cette figure (angles alterne-externes, angles correspondants, angles alterne-internes etc.) et pourtant, je ne comprend pas où se trouve la partie extérieure et la partie intérieure de la figure. Par exemple, si on me demande d’indentifier toutes les paires angles alterne-externes, est ce que je peux mettre 1 et 10?
-
Vérifiée par Alloprof
Secondaire 4 • 3abonjour, j’aurais besoin de votre aide svp dans cet exercice que j’essaye de le faire à plusieurs essai mais je n’y arrive pas… j’ai mis x: nb de ballons de soccer et y: bb de ballons volleyball. Numéro 5du problème
-
Vérifiée par Alloprof
Secondaire 2 • 3aPouvez-vous m'aider dans cette question à propos les "périmètres et aires de figures semblables"? Merci
-
Vérifiée par Alloprof
Secondaire 4 • 3aCommet faire ce promblem?
-
Vérifiée par Alloprof
Secondaire 1 • 3aBonjour, je ne comprends pas cette question. Est ce que vous pouvez m’expliquer?
-
Vérifiée par Alloprof
Secondaire 4 • 3aBonjour,
Je n’ai pas compris ce numéro malgré plusieurs essais. Pouvez vous svp m’aider. Je ne comprend pas comment réussir à trouver le point partage.
voici le numéro :
-
Vérifiée par Alloprof
Secondaire 4 • 3a(8x^2-4x)(6x+4)/9x^2+6x = h
comment je resoudre pour trouver h
-
Vérifiée par Alloprof
Secondaire 1 • 3aBonjour, mon fils de secondaire 1 doit calculer une mesure manquante d’un parallélogramme.
on connaît que la base mesure 4,5 cm
et le dessus mesure 3,5.
et on a un angle de 45 degré.
mon doit calculer la hauteur
je sais pas comment prendre une photo de l’exercice pour vous le montrer
je ne comprend pas comment faire le calcul
on a pas l’aire
















