Liste de discussions
-
Vérifiée par Alloprof
Secondaire 3 • 4aBonsoir, je n’arrive pas à faire ce numéro. J’aurais besoin d’aide s’il vous plaît :(!
-
Vérifiée par Alloprof
Secondaire 3 • 4aBonsoir, je n’arrive pas à faire ce numéro. J’aurais besoin d’aide s’il vous plaît :(!
-
Vérifiée par Alloprof
Secondaire 3 • 4aBonsoir, je n’arrive pas à faire ce numéro. J’aurais besoin d’aide s’il vous plaît :(!
-
Vérifiée par Alloprof
Secondaire 2 • 4aBonsoir, je me demandais si mon proffesseur accepterais ou pas si j'utilise dans mon examen de fin d'année de mathématique le théorème de pythagore même si je suis en secondaire 2 et qu'on l'a jamais vu? Il sait que je sais maîtriser plusieurs notions des années qui suivent, donc je me demandais si je pourrais l'utiliser si j'aurais un triangle rectangle et que j'aurais à trouver une mesure et que je n'arrive pas à trouver le petit détail caché qui donne un indice.
-
Vérifiée par Alloprof
Secondaire 4 • 4aBonsoir!
Jai un probleme ici, et je ne suis pas sur de l avoir réussi.
Un fermier doit engager un agronome pour le conseiller dans sa production agricole cette année. Voici le tarif de trois agronomes auxquels il a demandé des soumissions.
Agronome 1:Frais d’évaluation : 860 $ Taux horaire : 32,75 $
Agronome 2: Frais d’évaluation : 1115 $ Taux horaire : 24,50 $
Agronome 3: Tarif fixe pour toute la saison : 2300 $
Sachant que les agronomes ne facturent qu’un nombre d’heures entier, indiquez au fermier, à l’aide d’un graphique et de calculs, quel agronome il devrait engager selon le nombre d’heures pendant lesquelles il aura besoin de ses services.
Donc voici ma reponse finale:
Pour moins de 31 heures, le 1 est plus avantageux. Pour 31 heures, 1 et 2 sont egals. Ensuite, vous m aviez dit de verifier ce qui se passe a 44 heures, majs ne serait-ce mieux d'écrire ce qui se passe de 31 a 48 heures, etant donne que le 2 sera plus avantageux dans les 2 cas? Pour plus de 48 heures, le 3 est le plus avanatageux.
Pourriez-vous me donner la reponse svp? Cela me serait utile! Mon exam final est lundi. Merci!
Merci trop!
-
Vérifiée par Alloprof
Secondaire 3 • 4aBonjour,
J'ai un exercice qui demande cette question: Lequel de ces énoncés suivants constitue une interprétation adéquate d'un taux de variation de -3/2
Voici les choix de réponses:
a) lorsque la variable dépendante augmente de 2 unités, la variable indépendante augmente de 3 unités
b) Lorsque la variable indépendante augmente de 2 unités, la variable dépendante augmente de 3 unités
c) Lorsque la variable dépendante augmente de 2 unités, la variable indépendante diminue de 3 unités
d) lorsque la variable indépendante augmente de 2 unités, la variable dépendante diminue de 3 unités
Je ne comprends vraiment pas… Pourriez-vous m'aider?
Merci!
-
Vérifiée par Alloprof
Secondaire 2 • 4aTrouve la valeur de c qui fera de chaque expression ci-après un trinôme carré parfait.
x^2 + 8x + c
x^2 – 14x + c
-
Vérifiée par Alloprof
Secondaire 5 • 4aBonjour, je ne comprends pas quoi faire pour ce numero:) Vous m'aviez deja repondu, mais ce que vou sm'avez dit ne fonctionne pas, mon prof m'a dit que ce que vous dites n'Est pas bon :/
-
Vérifiée par Alloprof
Primaire 6 • 4aBonjour!
J'ai de la difficulter à comprendre les probabilités.
-
Vérifiée par Alloprof
Postsecondaire • 4acquoi tra A ou Ac une matrice
-
Vérifiée par Alloprof
Secondaire 5 • 4aPourquoi cette équation ne marche pas dans ce problème ?
-
Vérifiée par Alloprof
Secondaire 3 • 4aQuel est un domaine d'une équation?
-
Vérifiée par Alloprof
Secondaire 5 • 4aBonjour, je ne comprends pas quoi faire pour ce numero:)
-
Vérifiée par Alloprof
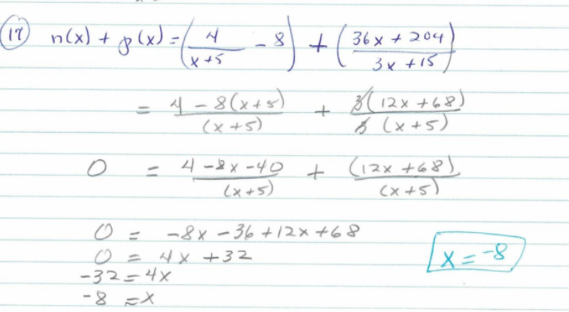
Secondaire 5 • 4aBonjour, je voulais savoir dans le fond ou y vont les x+5 et pourquoi elle vont?
-
Vérifiée par Alloprof
Secondaire 3 • 4aJ’aimerais avoir des truc est conseille pour algèbre de secondaire 3
-
Vérifiée par Alloprof
Primaire 3 • 4abonjour! J'ai de la difficulté avec le tableau de données condensées! je ne comprends pas la fréquence cumulée et le but de faire ce tableau... pouvez-vous m'aider?
-
Vérifiée par Alloprof
Secondaire 3 • 4aBonjour
2000000fcfa=?combien€ ?
-
Vérifiée par Alloprof
Primaire 4 • 4abonjour jaimerais savoir comment divisé avec la méthode crochet svp merci sabrina mongeau
-
Vérifiée par Alloprof
Secondaire 5 • 4aJe n'arrive toujours pas à résoudre le b).
-
Vérifiée par Alloprof
Secondaire 2 • 4aSuite à la réponse à ma question je me retrouve avec un x négatif ce qui n'est pas possible. Serait-il de revoir la réponse?
-
Vérifiée par Alloprof
Secondaire 5 • 4aPour le numéro a),je ne comprends pas pourquoi dans le corriger pi/2 = h et pour quoi b= -1
-
Vérifiée par Alloprof
Secondaire 1 • 4aBonjour,
Je me demande si il y a des exercice sur l'algèbre.
Merci
-
Vérifiée par Alloprof
Secondaire 3 • 4aBonjour,
je ne comprend pas pourquoi a^3 multiplié pas a^-7 ne me donne pas 2a^-4, mais a^-4.
-
Vérifiée par Alloprof
Secondaire 5 • 4aLa salle 1 je n'ai pas compris.
-
Vérifiée par Alloprof
Secondaire 3 • 4abonjour, est-ce que vous pouvez répondre à ma question? merci
-
Vérifiée par Alloprof
Secondaire 2 • 4aBonjour
J ai le problème suivant, puis je avoir la démarche pour la solution? Merci
-
Vérifiée par Alloprof
Secondaire 5 • 4aBonjour je ne comprends pas ce numéro.
-
Vérifiée par Alloprof
Secondaire 5 • 4aJe ne comprends pas ce numéro (#67 a) et b))
-
Vérifiée par Alloprof
Primaire 5 • 4aje ne comprends pas la dernière question
-
Vérifiée par Alloprof
Secondaire 2 • 4aBonjour!
J'aurais 2 questions:
1- Quelle est la différence entre une situation de proportionnalité et d'inversement proportionnelle?
2- Comment déterminer le rapport de similitude entre deux figures?
Merci et bonne journée!
-Flo














