Liste de discussions
-
Vérifiée par Alloprof
Secondaire 4 • 4aAllo
je ne comprends pas comment calculer la rue D'Aoust.. c'est quoi le 'a'???
ensuite comment je trouve la distance entre les points R-P?
merci
-
Vérifiée par Alloprof
Secondaire 3 • 4aBonjour quel est la réponse de ces numéros?
-
Vérifiée par Alloprof
Secondaire 4 • 4aAllo, je ne comprends pas comment arriver à la bonne réponse... je commence par faire un Sin35=154/hyp --> hyp AE = 268.53.
Ensuite AF=FE=BF donc ils ont tous 134.3cm
Ensuite loi des sinus pour trouver BE:
134.3(BF)/sin55 = BE/sin70 --> donc BE = 154.14
Quand j'additionne le tout pour périmètre 154+154.14+268.53, je dépasse le 522 du périmètre total... je ne comprends pas où je me trompe. Vous pouvez m'aider?? merci
-
Vérifiée par Alloprof
Secondaire 2 • 4aSalut Ya tu quelqun qui veut mexpliquer le chapitre 6 du cahier horizon pour laire des prismes et en resume l'algèbre
-
Vérifiée par Alloprof
Secondaire 5 • 4aRègle d’une fonction quadratique
Bonjour ,
on a 3 points par lequel passe la courbe ,dont les points (0,0) (2,5;2,5) (3,0) .On veut savoir les coordonnées de son sommets .Comment faire ?
Merci !
-
Vérifiée par Alloprof
Secondaire 3 • 4abonsoir,
est-ce que vous pouvez répondre à ma question? merci
-
Vérifiée par Alloprof
Primaire 4 • 4aBonjour Alloprof,
Je ne sais pas comment placer mes chiffres pour avoir la réponse à cette question : 2\6 est-il plus proche de 1\2,0 ou 1?
Merci d'avance
P.S: Pouvez-vous me l'expliquer avec une droite numérique?
-
Vérifiée par Alloprof
Secondaire 1 • 4aJe ne comprend pas ce devoir
-
Vérifiée par Alloprof
Secondaire 2 • 4aAllô, j'aimerais savoir comment résoudre les deux prochaines questions suivantes, "détermine la valeur de chacune des expressions suivantes. 20% de 42." Et j'aimerais aussi avoir des explications sur la question suivante. "Dans chaque cas, détermine le nombre, sachant que: 12% de ce nombre est 48." Alors, j'aimerais savoir comment trouver la réponse et comment résoudre. merci!
-
Vérifiée par Alloprof
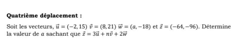
Secondaire 4 • 4aJe ne comprends aucunement comment trouver la solution, un de vous serait capable de m'aider?
-
Vérifiée par Alloprof
Secondaire 5 • 4aBOnjour, je ne suis pas sur de savoir comment résoudre ce probleme. J'ai fais ma distribution en faisant l'equation du z, mais apres je ne comprends pas quoi faire, même avec l'Explication qu'on mavait donné.
-
Vérifiée par Alloprof
Secondaire 5 • 4aBonjour, je ne suis pas capable de faire ce numéro, pouvez-vous m'aider
-
Vérifiée par Alloprof
Secondaire 5 • 4aBOnjour, je ne suis pas sur de savoir comment résoudre ce probleme
-
Vérifiée par Alloprof
Secondaire 2 • 4aje ne sais pas chercher le k dans cettequest j'ai le a et j'ai le h et le x mais je dois calculer mon k pour le mettre vous pouvez m'aider et sa sait la question ( Quelle est la valeur minimale d'une parabole qui a un facteur d'étirement de 2, un axe de symétrie de x=-4 et dont l'ordonnée à l'origine est 5? *)
-
Vérifiée par Alloprof
Secondaire 2 • 4aJe n’arrive pas à résoudre de problème quelqu’un pourrais tu m’aider.
merci
-
Vérifiée par Alloprof
Secondaire 3 • 4aBonjour, j'essaie de mettre cette équation sous la forme d'une puissance à la base mais je n'arrive jamais à la bonne réponse.
Merci d'avance :)
-
Vérifiée par Alloprof
Secondaire 1 • 4abonjour, vous pouvez m'expliquer comment on fait pour les équations car je comprends rien a rein.
-
Vérifiée par Alloprof
Secondaire 4 • 4aBonjour!Je ne comprends cet exercice, je narrive pas a travailler avec des lettres. Pourriez vous svp me donner une demarche avec des reponses pour savoir comment faire un tel exercice?
En fait, jai bientot mon exam final en math.
Merci beaucoup!
-
Vérifiée par Alloprof
Secondaire 5 • 4aBonjour ,
que vaut arctg(tg pi/3)
-
Vérifiée par Alloprof
Secondaire 1 • 4aQui a un truc pour le PGCD, j'ai un teste et je ne me souviens pas très bien
merci
-
Vérifiée par Alloprof
Secondaire 1 • 4aBonjour, pouvez vous m'aider pour ce problème?
-
Vérifiée par Alloprof
Secondaire 1 • 4aBonjour,
Pouvez-vous m'aider pour ce problème?Merci
-
Vérifiée par Alloprof
Postsecondaire • 4aLa formule que Mr.Thomas avait utilisé pour expliquer à un élève ne me viens pas en tête, quelqu'un pourrait m'aider s'il vous plait car j'aurais un examen bien tôt en mathématiques et le prof a dit qu'il y aurait beaucoup de triangles, il nous permet aussi d'utiliser les formules qu'on veut, même le théorème de Pythagore si on sait l'utiliser.
-
Vérifiée par Alloprof
Secondaire 2 • 4aBonjour, j'ai un problème en mathématique que je n'arrive pas à résoudre. Le voici :
Un triangle équilatéral et un hexagone régulier ont le même périmètre. L'aire du triangle équilatéral est de 666 cm^2. Que vaut l'aire de l'hexagone régulier?
Merci beaucoup!!
-
Vérifiée par Alloprof
Secondaire 3 • 4aBonsoir,
Est-ce que la variable dépendant est y et la variable indépendante est x?
Merci
-
Vérifiée par Alloprof
Secondaire 1 • 4aAllO est ce que vous pouvez m'expliquer ça car j si oublié comments on a trouver
-
Vérifiée par Alloprof
Secondaire 1 • 4aBonjour, j'ai vraiment besoins d'aide pour les probabilités. Rien n'est claire dans ma tête quand ma professeur de math parle de cette matière. J'ai plus précisément besoins de comprendre comment calculer les probabilités. Je ne sais pas quand faut additionner les possibilités ou les multiplier; Je vais vous montrer quelques exemples
-Dans un paquet de 52 cartes, on ne garde que les figures et on tire deux cartes parmi celles-ci. Qu'elle est la probabilité de tirer un roi et une dame. Le calcule qu'il faut faire est 4/12 x 4/11. ( je le sais parce-qu'on a déjà corriger l'excercises ensemble ) mais je me demande pourquoi est-ce une multiplication? Et dans un problème de probabilité c'est quoi qui faut multiplier précisément et quand faut il multiplier?
-Prouve qu'il y a 120 possibilités d'asseoir différemment 6 personnes autour d'une table ronde. Je comprend juste pas cette exercices. Qu'est qu'ont est supposé de faire pour trouver la réponse?
-
Vérifiée par Alloprof
Primaire 4 • 4aBonjour Alloprof,
je ne suis pas tres bonne en probabillité en fraction comme combien de chance tu pur piger cette carte tatatitatata
vous pouvez maider SVP?
ps:jai un exame demain et je comprend rien vous pouvez ecrire vite svp (je vous oblige pas)
-
Vérifiée par Alloprof
Secondaire 3 • 4aBonjour, je ne comprends pas comment trouver la solution de ce problème et est ce que le rayon est le même lorsque c'est une reproduction exacte?
Il y a deux cylindre qui sont une reproduction exacte. Le premier à un rayon de 4 cm et sa hauteur est de 2 cm. Le deuxième à un volume de 864π. Quelle est la hauteur du deuxième cylindre?
Merci d'avance :)
-
Vérifiée par Alloprof
Secondaire 2 • 4aBonjour,
J’ai besoin de l’aide pour comprendre les probabilités.
Par exemple, pourrez vous m’expliquer les probabilités prétentielles et théoriques.
J’ai aussi beaucoup besoin de l’aide avec les probabilités avec et sans remise.
Merci en avance!















