Liste de discussions
-
Vérifiée par Alloprof
Secondaire 2 • 4aC'est quoi un paramètre?
mrc
-
Vérifiée par Alloprof
Primaire 1 • 4aBonjour il faut calculé cette équation7-(a+6)=2a+10
-
Vérifiée par Alloprof
Secondaire 3 • 4aBonjour,
Je ne comprends vraiment pas les solides semblables ainsi que les rapports de similitude. J'aurais besoin d'aide merci!
-
Vérifiée par Alloprof
Primaire 5 • 4aest ce que il faut mettre un 0 quand on multipli?
-
Vérifiée par Alloprof
Secondaire 1 • 4aBonjour, je voulais avoir la mémoire rafraîchi et c`est le pourquoi je demande quelle est la démarche TORU.
Merci pour la réponse!
-
Vérifiée par Alloprof
Primaire 5 • 4acomment faire une priorité d'opération
-
Vérifiée par Alloprof
Primaire 6 • 4aJe ne comprends pas la simplification des opérations en utilisant la décomposition en facteur. Ce sont des fraction comme : 420/70.
Merci d'avance
-
Vérifiée par Alloprof
Secondaire 5 • 4aSi j'ai bien compris mon équation finale seraitMais je ne sais pas comment la mettre dans solver sur excel, est ce que quelqu'un pourrait m'aider svp merci
-
Vérifiée par Alloprof
Secondaire 2 • 4aC'est quoi le polynôme?
-
Vérifiée par Alloprof
Secondaire 3 • 4acomment faire pour faire une multiplication facilement & rapidement
-
Vérifiée par Alloprof
Primaire 6 • 4aje aime pas beaucoup les maths auriez vous quelque chose qui pourrai me aider svp
merci !!!!!!!!!!!!!!!!!!!!!!!!!!!!!!!!
-
Vérifiée par Alloprof
Primaire 3 • 4aje peux avoire des avoire des dessin exp: 625- 243 comment je peux le représenter?
-
Vérifiée par Alloprof
Secondaire 5 • 4aBonjour à tous😊
Pour apprendre les mathématiques, cetains étudiants utilisent la carte mentale. D'après vous, est ce que c'est efficace ?
Par exemple, ces formules de primitives et intégrales, dans la carte mentale ci-dessous, semble-il plus mémorable ???
-
Vérifiée par Alloprof
Secondaire 5 • 4aBonjour.
Serait-ce possible de m'expliquer la trigonométrie?
Merci
Cordialement
-
Vérifiée par Alloprof
Primaire 4 • 4apouvez-vous me dire c'est quoi les faits restants? svp
-
Vérifiée par Alloprof
Primaire 6 • 4aBonjour! est ce que ca sera possible de m'expliquer les diagrammes circulaire!merci
-
Vérifiée par Alloprof
Primaire 5 • 4aBonjour,Jai essez beacoup de fois pour trouver des videos a propro de la masse et tout ca parce que mon ensegent veux qu'on etudie cest 4 chose en bas donc est-ce que vous avez des videos pour ces ?
- Connaître les préfixes métriques
- Estimer la mesure des objets
- Comparer les mesures
- Résoudre des problèmes Merci
-
Vérifiée par Alloprof
Secondaire 4 • 4a -
Vérifiée par Alloprof
Secondaire 3 • 4aBonjour,
Avez-vous des problèmes écrits pour réviser le volume et l'aire?
Merci beaucoup!
-
Vérifiée par Alloprof
Primaire 6 • 4aBonjour, je ne comprends pas c'est quoi des angles congrus.
Merci de votre aide!!
-
Vérifiée par Alloprof
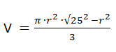
Secondaire 3 • 4aBonjour,
J'ai de la difficulté à trouver la mesure du rayon d'une sphère, elle a une aire de 10 000cm3.
Pouvez-vous m'aider svp?
-
Vérifiée par Alloprof
Secondaire 2 • 4aComment je trouverai l'hauteur?
-
Vérifiée par Alloprof
Secondaire 4 • 4aComment je fais pour trouver la valeur de y et de x avec ces deux équations là?
$$5y+5xy-3x+2=25$$
Et
$$x=2y+7$$
Merci!
-
Vérifiée par Alloprof
Primaire 4 • 4aallo je veux savoir 30x3000 svp bonne soirée
-
Vérifiée par Alloprof
Primaire 6 • 4asi tu as ton périmètre et tu as un coté et tu dois trouver l'aire comment tu dois faire je comprends pas aidez-moi
-
Vérifiée par Alloprof
Secondaire 3 • 4aComment faire pour trouver le f) ? je sais que je dois utilliser K1 K2 et K3, mais la démarche n'est pas encore clair dans ma tête ni dans le cahier.
-
Vérifiée par Alloprof
Primaire 5 • 4aComment calcule-t-on 1/10 d’un nombre entier?
-
Vérifiée par Alloprof
Secondaire 2 • 4aBonjour à vous! Je dois faire ce problème pour me pratiquer avant mon examen et je ne sais aucunement par où commencer. Pourriez-vous m'aider s'il vous plait?
-
Vérifiée par Alloprof
Secondaire 1 • 4aBonjour pour moi g)136 merci
-
Vérifiée par Alloprof
Primaire 5 • 4aBonjour avez-vous des trucs pour additionner et soustraire des fractions qui non pas le même numérateur et dénominateur. Merci.








