Liste de discussions
-
Vérifiée par Alloprof
Primaire 5 • 11mest ce que ont peut resoudre trois multiplication alligner
par EXEMPLE:
78
94
45
-
Vérifiée par Alloprof
Secondaire 2 • 11mJe n' arrive pas à faire ce problème.
-
Vérifiée par Alloprof
Secondaire 1 • 11mtâche
Après l'annonce du G-50, la tension est à son comble. Tante Azilda sue à grosses gouttes. L'animateur se prépare à annoncer le numéro suivant. Vous retenez votre respiration. Déterminer la probabilité que vous gagniez à cette étape.
-
Vérifiée par Alloprof
Primaire 4 • 11mles caractéristiques qui décrivent les polygones
-
Vérifiée par Alloprof
Secondaire 5 • 11mBonsoir, AlloProf,
Quelle est la meilleure méthode de convertir m/s en km/h et vice versa?
Merci!
-RequinAuthentique849
-
Vérifiée par Alloprof
Primaire 5 • 11mcomment ont peut fractioner un faction équivalent
-
Vérifiée par Alloprof
Primaire 4 • 11mses quoi les nombre décimale
-
Vérifiée par Alloprof
Primaire 6 • 11mallô quelqu,un purrait me donner des exercises sur
(addition,soustraction,multiplication,divisions)la moyenne fractions et porcentage plan catesien diagrammes et solides(prisme a base carré, pyramide a base rectangulaire etc.)et son developpent
Merci! J'ai un examen Mardi prochain
-
Vérifiée par Alloprof
Primaire 6 • 11mMétéormath a un problème….
Quand je choisi la table du 3,4,5,6,7,8,9 mais pas la 1, 2, 10, 11, 12 quand je joue ça me les demande quand même.. ex. 12x3 quand j’ai même pas choisi 12
-
Vérifiée par Alloprof
Primaire 6 • 11mcoucou le fin lapin 3 a été suprimé (l'ancienne version plus veille ?)
-
Vérifiée par Alloprof
Primaire 5 • 11mBonjour, je ne comprend pas bien le périmètre et
l'air pouvez-vous m'en dire plus. S'il vous plaît
Merci 😊
-
Vérifiée par Alloprof
Primaire 5 • 11mBonjour! Je suis en primaire 5 et je me demandais comment additionner une fraction.
Merci!
-
Vérifiée par Alloprof
Primaire 5 • 11mdes exercices d' arbre de facteur sil te plait
pour primaire 5
-
Vérifiée par Alloprof
Secondaire 4 • 11mBonjour, j'ai un début de démarche, mais je ne comprends pas ce que je dois faire ensuite afin de trouver la hauteur. Merci!
-
Vérifiée par Alloprof
Secondaire 5 • 11mBonjour j'ai demandé la question il y a une heure mais je ne la retrouve pas.
Y a til un truc pour trouver les zeros d'une fonctions complexe (comme celle démontre dans mon exemple plus tot)?
-
Vérifiée par Alloprof
Secondaire 1 • 11mj'ai pas compris le plan cartesian et les coordonnés
-
Vérifiée par Alloprof
Secondaire 2 • 11mcomment placer des coordonnées sur le plan cartésien quand il y a un 0?
ex: (-4,0) et (0,-4) ou même (7,0) et (0,7)
merci!
-
Vérifiée par Alloprof
Secondaire 2 • 11mquel est le définition de l’apotèm
-
Vérifiée par Alloprof
Primaire 6 • 11mStratégies de multiplications, divisons, nombres décimaux, fractions. Sil vous plait
-
Vérifiée par Alloprof
Secondaire 4 • 11mJ'ai des notes de cours pour mes cours et il à des exercices à faire pour aider à comprendre avant les exercices. Et je me demandais comment trouver la hauteur avec la loi du héron. Voici des informations.
m AB = 11.,88 cm
m DB = 14.63 cm
m AD = 5.74 cm
il à aucune mesure d'angle, donc c'est pour ça que je me demande comment faire.
-
Vérifiée par Alloprof
Secondaire 4 • 11mJ'ai un numéro sur la loi des sinus et ce numéro parler de trouver la distance. Donc voici les informations. Et je me demandais comment m'y prendre pour calculer. Merci!
Un touriste observe de l'obélisque de Louxor, situé à Paris, selon un angle d'élévation de 40 degrés. Il avance de 11 m en direction de l'obélisque. L'angle d'élévation de l'obélisque est alors de 55 degrés. À ce moment, quelle distance sépare le touriste du sommet de l'obélisque?
-
Vérifiée par Alloprof
Secondaire 4 • 11mJ'ai ce problème à résoudre. Je n'arrive pas à la même réponse que dans mon corrigé. Dans celui-ci, il est écrit 176$. Pour ma part, j'arrive à 200$. Me suis-je trompée? Si oui, à quel endroit?
1- J'ai calculé le rayon de chaque cercle en utilisant la notion de distance entre 2 points. Cela m'a donné 4,25 m pour le cercle blanc et 5,66 m pour le cercle rouge.
2- J'ai calculé l'aire de chaque cercle grâce aux rayons trouvés. Ce qui m'amène à avoir 56,75 m2 pour le cercle blanc et 43,89 m2 pour le cercle rouge.
3- J'ai divisé chaque aire par 14 afin de savoir combien de litres il me faut pour chaque peinture. Donc, il me faut 5 litres de blanc et 4 litres de rouge. J'ai arrondi à la hausse afin d'avoir des litres complets. J'ai refait le calcul sans arrondissement, mais je n'arrive toujours pas à 176$ au total.
4- J'ai multiplité chaque nombre de litres par le prix de chaque peinture. 5 x24$ = 120$ de peinture blanche et 4 x 20$ = 80$ de peinture rouge.
5- J'ai additionné les deux montants. Cela m'a donné 200$.
-
Vérifiée par Alloprof
Secondaire 5 • 11mComment calculer les expressions arc sin, arc cos et arc tan pour une valeur précise: exemple arc tan (-3^-2/3)?
-
Vérifiée par Alloprof
Secondaire 4 • 11mBonjour! Dans le coefficient d’une corrélation linéaire d’un nuage de points, l’intensité est dite forte si elle est entre 0,8 et 1, et elle est moyenne si entre 0,5 et 0,8. Si Le r= 0,8, est ce que la corrélation est forte ou moyenne?
-
Vérifiée par Alloprof
Secondaire 4 • 11mVous pouvez m expliquer comment le résoudre svp
On s'intéresse aux fonctions / possédant les caractéristiques suivantes.
La règle de la fonction / peut être exprimée sous la forme suivante.
f(x) = -(x-x1)(x-x₂) où x₁ et x2 sont des entiers et x1 + x2
L'ordonnée du sommet de la parabole représentant la fonction f dans le plan cartésien est k.
existe un lien entre la valeur de k et la moitié de Il l'écart entre les zéros de la fonction f.
Formulez une conjecture décrivant ce lien.
-
Vérifiée par Alloprof
Secondaire 1 • 11mUn magasin vend des écouteurs. J’en achète un qui a 40% de réduction. Sachant que j’ai payé 36$ pour mon écouteur avec la réduction. Quel sera le prix initial?
Merci !
-
Vérifiée par Alloprof
Secondaire 5 • 11mEnsuite, on fait quoi ?https://www.alloprof.qc.ca/zonedentraide/discussion/117061/question/p1
-
Vérifiée par Alloprof
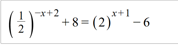
Secondaire 5 • 11mComment on résous ça :la réponse est de (3,10)
-
Vérifiée par Alloprof
Secondaire 4 • 11mJia fait sa avec ma prof et je suis arriver au delta pour trouver x1 et x2 mais la quand je fait le delta sa me donne pas le même numéro que elle vous pouvez faire le delta pour me montrer
-
Vérifiée par Alloprof
Primaire 6 • 11mBonsoir !
Merci beaucoup à madameKatia kd'identifier mes fautes et m'expliquer dans ma question précédente😁!Voici mon exercice que j'ai refait :) Puisque mon enseignante a dit d'arrêter au centièmes, j'ai arrêter et les autres j'ai changer. Je doute qu'il y a des erreurs dans mes démarche comme toujours😭,pouvez-vous s.v.p m'aider ?Merci beaucoup de votre aide et votre compréhension :D







