Liste de discussions
-
Vérifiée par Alloprof
Primaire 5 • 1aSalut Alloprof, J'ai des problèmes avec les l’arrondissement des nombres décimaux. Est - ce que tu peux m'aider ?
-
Vérifiée par Alloprof
Secondaire 3 • 1aCelle-ci aussi svp🙂Merci pour la réponse !
-
Vérifiée par Alloprof
Secondaire 3 • 1aVoilà la photo, merci!
-
Vérifiée par Alloprof
Secondaire 3 • 1aBonjour,
Comment je peut trouver les mesure de triangle avec la relation de Pythagore si je n'est qu'une mesures (la hauteur (10cm))??
Je peut peut-être envoyé une photo si c'est mieux...
Merci pour la réponse.
-
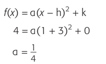
Vérifiée par Alloprof
Secondaire 4 • 1aCeci est-il une erreur dans le corrigé? Mes calculs donnent 1/2 et non 1/4
-
Vérifiée par Alloprof
Primaire 6 • 1aquelle un côté congrus?
-
Vérifiée par Alloprof
Secondaire 2 • 1aComment on fait le calcul d’un pourcentage sur une fraction
-
Vérifiée par Alloprof
Secondaire 3 • 1aBonjour, je fais des exercices dans mon cahier de maths et je ne comprends pas cette question:
Louise construit un potager carré dont la diagonale mesure 15m. Quel est le périmètre de ce potager?
pouvez vous m’aider svp?
merci!!
-
Vérifiée par Alloprof
Primaire 5 • 1aqu'est ce que ça veux dire al
-
Vérifiée par Alloprof
Postsecondaire • 1aquoment on écris 1 al
-
Vérifiée par Alloprof
Secondaire 4 • 1aBonjour est-ce que c’est bon?
-
Vérifiée par Alloprof
Secondaire 4 • 1a1)Bonjour alloprof je ne sais pas où j'ai pris le -10 et je suis confu parce que je ne vois pas le calcul qui m'a permis de trouver le -10
-
Vérifiée par Alloprof
Secondaire 4 • 1aBonjour alloprof je ne sais pas comment bien résoudre ce problème puisque je ne sais quel est le dessin de ce problème?
-
Vérifiée par Alloprof
Primaire 6 • 1a''Arrondir a la dizaine de mille''
merci de m'aider
allo prof
-
Vérifiée par Alloprof
Secondaire 4 • 1aBonjour, est ce que quelqu'un peut m'expliquer comment résoudre ça étape par étape svp, merci à l'avance!
-
Vérifiée par Alloprof
Secondaire 3 • 1aBonjour j'aurais besoin d'aide pour la démarche.
Le contexte:La question:
Au moment où la culture bactérienne de Mia contiendra 9 bactéries, combien de contiendra celle de Jacob.
(J'aimerai savoir comment faire la démarche sachant que le résultat est : 2²⁵ bactéries )
Merci.
-
Vérifiée par Alloprof
Secondaire 4 • 1aBonjour alloprof s'il vous plaît dessinez la médiane s'il vous plaît parce que je ne comprends pas c'est quoi médiane merci?
-
Vérifiée par Alloprof
Secondaire 4 • 1aBonjour alloprof pour le numéro je suis confu qu'on a utilisé la formule le point dun segment au milieu parce que dans le numéro ça dit de trouver la distance et la seule formule est la distance entre deux points. Pourquoi a-t-on utilisé la formule le point dun segment au milieu merci?
-
Vérifiée par Alloprof
Secondaire 2 • 1aBonjour, comment faire
32% de ----= 6,4
comment trouver le terme manquant svp
merci beaucoup :)
-
Vérifiée par Alloprof
Secondaire 4 • 1aBonjour alloprof
1)je ne sais pas comment dessiner le point de partage d'un segment pour trouver les coordonnées du f
2)En quoi les coordonnées du f manque je ne vois pas ?Le numéro 4 merci ☺️ prenez votre temps s'il vous pour comprendre le problème
-
Vérifiée par Alloprof
Secondaire 4 • 1asi possible de m’aider et ignorer les calcules merci
-
Vérifiée par Alloprof
Secondaire 4 • 1aQuel est la différence entre le point de partage d'un segment et le point milieu d'un segment?
-
Vérifiée par Alloprof
Secondaire 3 • 1aEst ce que cela est la bonne équation ?
-
Vérifiée par Alloprof
Primaire 5 • 1apour quoi on ne montre pas comment rangé les fraction en ordre croissant pour le primaire5
-
Vérifiée par Alloprof
Secondaire 1 • 1aJ’ai de la difficulté avec les additions et soustractions sur les entiers négatifs.
-
Vérifiée par Alloprof
Secondaire 5 • 1a1: démontrer que deux vecteurs ayant les composantes (a,b) et (c,d) sont colinéaires si ad - bc = 0 (analogue de la formule ac + bd = 0 pour tester l'orthogonalité).
2: démonter que dans un système d'équation à deux variables ax + by = c et dx + ey = f, x = (ed-bf)/(ad-bc) et y = (af - ce)/(ad-bc)
Tout cela avec seulement les mathématiques de secondaire 5.
-
Vérifiée par Alloprof
Secondaire 4 • 1aEst ce que je peut avoir un exemple svp
-
Vérifiée par Alloprof
Secondaire 4 • 1aOn n'a pas répondu à ma question adéquatement oui ou non pour que ca soit rectangulaire il faut qu'il ait deux lignes parallèles avec la même pente et les deux autres en pente la même chose? Je pose cette question parce que je ne vois pas comment c'est rectangulaire puisque l'ordonné à l'origine est différent des parallèles merci?Répondez s'il vous plaît par oui ou non merci
-
Vérifiée par Alloprof
Primaire 4 • 1aCEST quoi une forme standard
-
Vérifiée par Alloprof
Primaire 4 • 1aC'est quoi une la forme standard on mathematique
















