Liste de discussions
-
Vérifiée par Alloprof
Secondaire 3 • 1aQuand on a une racine carré, et qu'on a une variable avec un exposant et qu'on cherche à simplifier l'équation,
est-ce qu'on doit faire la racine carré sur l'exposant?
Exemple:
(^ représente l'exposant)
(√a^10b^6)^3
Si non, je fais quoi avec les exposants?
-
Vérifiée par Alloprof
Secondaire 4 • 1aMathématiques sec. 4 SN
Sommets page 68 # 11 et #12 factorisation
-
Vérifiée par Alloprof
Primaire 4 • 1a5+5= tu me dire sa fais quoi?
-
Vérifiée par Alloprof
Secondaire 4 • 1aPourquoi 12x/-4x = (x-3) ?
-
Vérifiée par Alloprof
Secondaire 1 • 1aPourquoi change-t-on le numérateur et le dénominateur pour diviser une fraction?
-
Vérifiée par Alloprof
Primaire 3 • 1acest trop dure les division
-
Vérifiée par Alloprof
Secondaire 2 • 1aBonjour, j'aimerais savoir les étapes a faire pour mon problème de mathématiques:Quelle est la mesure de l’apothème de ce pentagone régulier? Note: l’apothème ne mesure pas 9,5cm; 15,4cm ou 7,7cm.Merci!!!
-
Vérifiée par Alloprof
Secondaire 3 • 1aBonjour,
je me demandais, dans les intervalles, il faut toujours mettre des crochets ouvert pour l’infini. Mais les crochets ouvert veulent dire exclu. Donc n’est-ce pas comme si on excluait l’infini ?
merci d’avance et bonne journée,
-
Vérifiée par Alloprof
Secondaire 3 • 1aMarie va acheter des chiens chez un éleveur de Labrador. Il
y a 12 nouveaux chiots bruns ou blonds. Sachant que le
triple du nombre de chiots blonds est égal au nombre de
chiots bruns augmenté de 4, combien y-a-t-il de chiots
bruns.
Comment je fais pour trouver le nombre de chiens blonds et bruns
-
Vérifiée par Alloprof
Secondaire 2 • 1acomment trouver la règle d'une suite via le « k » + à quoi correspond le « k » ??? les définitions sont assez floues sur google 😹😹
-
Vérifiée par Alloprof
Secondaire 4 • 1aQuel est la ricine carré de pi ???
-
Vérifiée par Alloprof
Secondaire 2 • 1aBonjour j'ai une question par rapport au truc
Can÷2
-
Vérifiée par Alloprof
Primaire 3 • 1acomment on appelle un number a virgule
-
Vérifiée par Alloprof
Secondaire 1 • 1aEs-ce qu'il y a un truc pour se souvenir de quoi avec un exposant négatif et une parenthèse?
Merci
-
Vérifiée par Alloprof
Primaire 5 • 1aBonjour
Je ne comprend pas très bien la division avec reste.
pouvez vous mexpliquer
Merci
-
Vérifiée par Alloprof
Secondaire 3 • 1aBonsoir,
Qu'est-ce qu'une borne avec les inéquations?
Merci d'avance!
-
Vérifiée par Alloprof
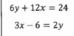
Secondaire 3 • 1aBonsoir!Svp aidez moi à résoudre cette substitution étapes par étapes et svp ne m'envoyer pas les fiches, elles ne m'ont pas aidées... Merci !
-
Vérifiée par Alloprof
Secondaire 5 • 1aSalutations,
Pouvez-vous m'aider à simplifier cette équation svp? La réponse du corrigé est racine carrée de 3/6e mais je ne trouve pas ça.
-
Vérifiée par Alloprof
Secondaire 1 • 1aBonjour!
Se problème me complique la vie j'ai aucune idée où commencer... j'apprécierais au moin une piste pour savoir où commencer.
Merci beaucoup!!!
-
Vérifiée par Alloprof
Secondaire 1 • 1aBonjour!
Dans se problème il faut trouver la mesure de l'angle DAF. J'ai déjà la mesure de FAC et BAC donc je me suis dis que il faut trouver la mesure de l'angle BAD. Par contre, je ne sais pas comment (trouver BAD) donc est-ce que quelqu'un peut me dire comment svp??? 😊Merci beaucoup!😊
-
Vérifiée par Alloprof
Secondaire 1 • 1aC'est quoi un triangle obtusangle Léa-kim?
-
Vérifiée par Alloprof
Secondaire 1 • 1aBonjour,
je ne comprend pas comment faire la hauteur d'un quadrilatere avec un compas
-
Vérifiée par Alloprof
Secondaire 5 • 1aBonsoir, pourriez-vous m’aider à faire la lettre c) svp?
Merci
-
Vérifiée par Alloprof
Secondaire 4 • 1aPourquoi est-ce que 12x/4x =(x-3)
?
-
Vérifiée par Alloprof
Secondaire 2 • 1aBonsoir Allo prof, je voulais juste savoir si dans un problème mathématique est ce que on peut diviser l'air par le périmètre ou multiplier l'air pas le périmètre ou il faut absolument que je convertis l'un pour que sa soit la meme mesure?
-
Vérifiée par Alloprof
Secondaire 1 • 1aBonjour à tous!
Je faisais un exercise sur les polygones et j'ai réalisé quelque chose:
Je ne comprend pas si la somme des angles d'un polygone,comme un parallélogramme ou un carré est de 360 ou de 180.
SOS!!!
(merci d'avance!<3)
-
Vérifiée par Alloprof
Secondaire 5 • 1aBonsoir, pourriez-vous valider mes réponses svp?
Merci
-
Vérifiée par Alloprof
Secondaire 5 • 1aComment trouver le domaine, la variation le codomaine et l'equation de l'asymptote d'une fonction logarithmique ?
Ex: -5ln-2(x-3)+4
EX: 4log-x-3
-
Vérifiée par Alloprof
Secondaire 4 • 1aje suis bloqué a l'étape de trouver l'ordonnée a l'origine de la corde gauche
-
Vérifiée par Alloprof
Secondaire 4 • 1aVoici le corrigé de mon problème … La question est : Trouve la coordonnées du point B à l’aide des coordonnées du point A et C. Mais je ne comprends pas d’où vient le 286 et le 154. Pouvez-vous m’expliquer comment ils ont procédé?











