Liste de discussions
-
Vérifiée par Alloprof
Secondaire 4 • 2aJe suis pas capable de faire le f, peux importe ce que je fais. Pourquoi? Merci pour de l'aide
-
Vérifiée par Alloprof
Secondaire 4 • 2aComment savoir quand utiliser 90 degré ou 180 degré dans la trigonométrie. Si le dessin est pas bien.
-
Vérifiée par Alloprof
Secondaire 1 • 2aBonjour! Je Me demandais si c'est vrai que tel chiffre exposant 0 es egal a 1. Jai chercher mais je ne trouve pas de reponces ni dexpliquations de plus les personnes de mon entourage me repondent tous des reponces diferentes.
Merci de laide !
-
Vérifiée par Alloprof
Secondaire 3 • 2aJe ne comprend pas comment faire ceci mes réponses sont pas les mêmes.De plus comment est ce qu’on c’est quoi le base d’un triangle rectangle
-
Vérifiée par Alloprof
Secondaire 3 • 2aJe ne sais pas quelle démarche effectuer pour arriver a la bonne réponse
-
Vérifiée par Alloprof
Secondaire 3 • 2aSvp expliquer mois c’est deux problèmes je comprends pas comment arriver à la bonne réponse
-
Vérifiée par Alloprof
Secondaire 3 • 2aAllo j’ai du difficulté avec ses deux problème je comprends mes calcules ne marche pas.
-
Vérifiée par Alloprof
Secondaire 4 • 2aDans une fonction exponentielles et quadratique, c’est à quelle moment qu’on utilise le LOG? Et ma deuxième question est dans une fonction exponentielle par exemple, 81=c^4, est ce que on faut racine cubique ou racine carrés? Et pourquoi?
-
Vérifiée par Alloprof
Secondaire 3 • 2aAllo,
je ne comprend pas comment faire ce problème
-
Vérifiée par Alloprof
Secondaire 4 • 2aJ’aimerai savoir comment régler le numéro 1 et le numéro 3 étape, la numero 1 je sais qu’il faut utiliser une méthode mais je ne sais pas laquelle et comment faire. Pour le numéro 3 je sais que c’est un point milieux 2/3 avec le point D que j’ai inventer, mais je ne sais pas si faut calculer la distance du point A à mon nouveau point D pour ensuite additionner la distance DC
-
Vérifiée par Alloprof
Secondaire 2 • 2aBonsoir! Je me demandais si 0 et 1 comptaient pour des nombres cubiques et carrés. Merci (:
-
Vérifiée par Alloprof
Primaire 3 • 2aSALUT JE SAIS PAS COMMENT ARRONDIR A LUNITE DE MILLE CENTAINE ET DIZAINE
-
Vérifiée par Alloprof
Secondaire 2 • 2aBonjour, j'ai une problème urgente que je dois résoudre. Je ne comprends pas comment le faire
-
Vérifiée par Alloprof
Secondaire 4 • 2aBonjour !
J'ai une question concernant le problème ci-dessous. Je l'ai très bien compris, tout s'est bien passé, mais je voulais juste être sûr à propos d'une chose. À la fin, lorsque j'ai trouvé l'aire du triangle KPL, j'ai automatiquement l'aire du triangle GHRT. Mais pour montrer que la mesure du segment GH est de 32 cm, est-ce que je dois faire 672 cm² divisé par 21 cm ? Car c'est ça que j'ai fait pour prouver que la mesure du segment GH est bel et bien de 32 cm. Par le fait même, est-ce que ce serait possible pour vous de me dire les formules pour l'aire d'un rectangle et d'un carré ? Assez bébé, je le sais, je ne m'en souviens juste plus et ça pourrait être utile pour mon examen de demain.
Je vous remercie énormément !
-
Vérifiée par Alloprof
Secondaire 2 • 2aDans une école, on note la combinaison du cadenas de chacun des élèves. Quel est le type de caractère étudié? (c'est des nombres alors, est-ce que c'est quantitatif discret ou quantitatif contenu?)
-
Vérifiée par Alloprof
Secondaire 2 • 2aSur un plan, on reproduit un terrain qui a la forme d'un pentagone régulier. L'aire réelle du terrain est de 55 m². Sur le plan, l'aire du terrain est de 8,8 dm². Si la mesure réelle d'un côté du terrain est de 5,5 m, quel est le périmètre du terrain sur le plan?
(d'abord, comment trouver l'apothème du plan et la mesure du côté du plan?)
-
Vérifiée par Alloprof
Secondaire 3 • 2aBonjour, je voulais juste savoir si la hauteur du cône doit trouvé avec pythagore et aussi, je voulais juste savoir comment trouver la hauteur du cylindre, car c'est cela qui me trouble dans ce problème.
Merci! :)
-
Vérifiée par Alloprof
Secondaire 2 • 2aJ'aurais besoin d'aide pour comprendre les probabilités. Merci
-
Vérifiée par Alloprof
Secondaire 2 • 2aces quoi l'aire algébrique
-
Vérifiée par Alloprof
Secondaire 1 • 2aBonjour,
Quelle est un angle consécutif et quelle est une diagonale?
-
Vérifiée par Alloprof
Primaire 3 • 2aComment résoudre se problem?
-
Vérifiée par Alloprof
Secondaire 3 • 2aJe ne comprends pas comment diviser avec des polynômes.
-
Vérifiée par Alloprof
Secondaire 2 • 2aBonjour, pouvez-vous m’aider en math pour les situation proportionnelle ou inverse
-
Vérifiée par Alloprof
Secondaire 3 • 2aComment resoudre cette probleme? avec explication svp
-
Vérifiée par Alloprof
Secondaire 2 • 2aEst-ce que quelqu’un pourrait m’aider? Je ne sais pas par où commencer
-
Vérifiée par Alloprof
Secondaire 4 • 2aPouvez vous m'aider avec ce numéro?
-
Vérifiée par Alloprof
Secondaire 2 • 2aBonjour quelle est la définition de l'aire algébrique,coment lutiliser ect...
Mercie.
-
Vérifiée par Alloprof
Secondaire 1 • 2aallo allo prof jaimerai savoire cest quoi la dffirence entre -3⁴ et (-3)⁴
-
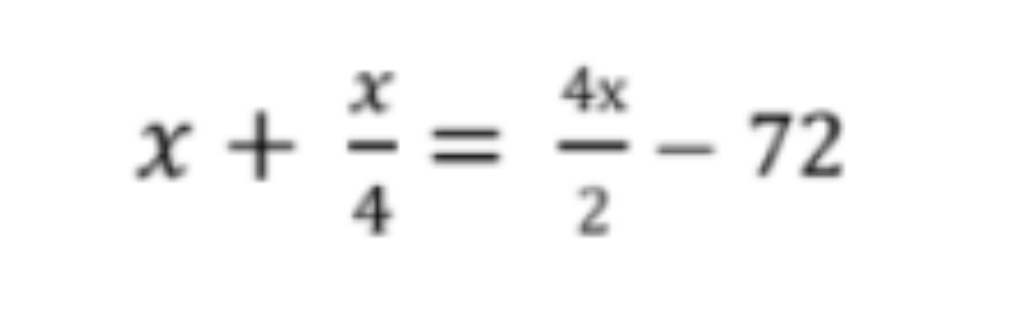
Vérifiée par Alloprof
Secondaire 2 • 2abonjour! J'ai une question, dans cette équation, si je bouge le 4 du v/4 de lautre coté de legale, est ce que ça va affecter le denominateur de 4v/2?
-
Vérifiée par Alloprof
Secondaire 2 • 2aBonjour,
J'aimerais savoir si il y a une fiche sur comment conserver le symbole pi, parce que je ne l'ai pas trouvé.
J'aimerais être répondue au plus vite, parce que j'ai un exam de fin d'année en math demain.


















