Liste de discussions
-
Vérifiée par Alloprof
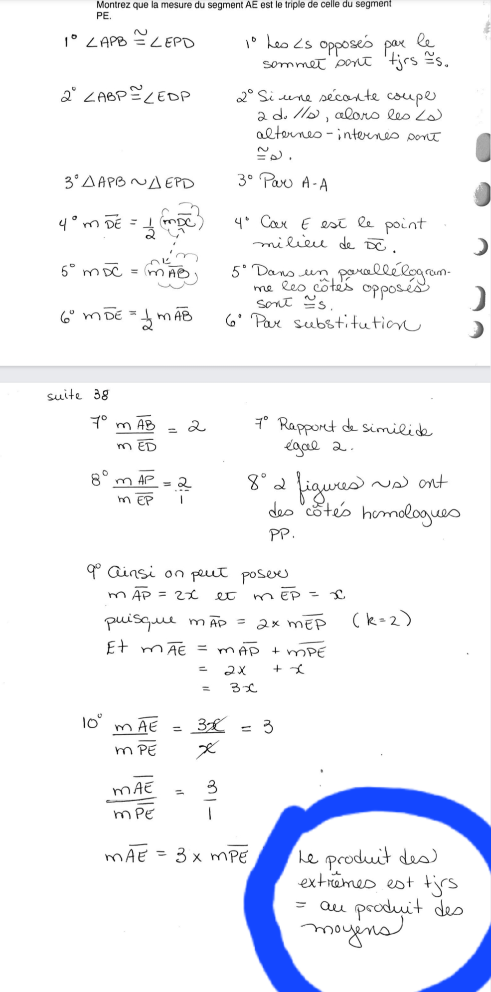
Secondaire 4 • 2aBonjour je ne comprend pas pourquoi a la fin sa dit "le produit des extreme est egale au produit des moyens je vois aucun calcule dans le corriger qui a rapport avec les extreme et les moyen pouvez vous m expliquer pourquoi cela est ecrit svp
-
Vérifiée par Alloprof
Secondaire 3 • 2aEst-ce que j'ai les bonnes réponses ?
-
Vérifiée par Alloprof
Secondaire 4 • 2aBonjour ma question est la suivante:
Quelle est la règle pour les expressions algébriques suivantes:
1re 5x+2
2e 5x-4
3e 5x+6
4e 5x-8
Je sais que la variation est +2 en inversant le signe, mais je ne sais pas comment l'exprimer sous forme de règle.
Pouvez-vous me la donner? Ce soir SVP, j'ai l'examen ministériel demain.
Merci pour votre temps.
-
Vérifiée par Alloprof
Secondaire 1 • 2abonjour, c'est quoi la formule du volume d'un prisme et de son aire?
-
Vérifiée par Alloprof
Secondaire 4 • 2aBonjour,
J'ai plusieurs expressions algébriques: 5x+2; 5x-4; 5x+6. Je sais qu'à chaque expression, on augmente le chiffre de 2 en inversant son signe. Pourtant, j'ai de la misère à l'exprimer sous forme de règle. Pouvez-vous me la donner?
SVP ce soir, c'est en vue de l'examen TS de demain.
Merci d'avance pour votre aide.
-
Vérifiée par Alloprof
Secondaire 3 • 2aest ce que vous pouvez m aider à trouver les réponses svppp
-
Vérifiée par Alloprof
Secondaire 3 • 2aEst ce que vous pouvez m aider avec la question 11 svp
-
Vérifiée par Alloprof
Secondaire 4 • 2aJe comprends pas est-ce que je peux me le faire expliquer s’il vous plaît ?
-
Vérifiée par Alloprof
Secondaire 1 • 2aBonsoir,
Comment respecter la règle des signes dans ceci?
-4+-8=?
-8- -4=?
Merci !!
-
Vérifiée par Alloprof
Secondaire 4 • 2aBonjour,
j’éprouve des difficultés dans ce numéro je ne comprend pas comment prouver que ce trapèze est rectangle. Avec les angles? Je ne comprend point.
Merci de votre aide!
-
Vérifiée par Alloprof
Secondaire 3 • 2aEst ce que vous pouvez m aidez à trouver des réponses svp
-
Vérifiée par Alloprof
Secondaire 4 • 2aBonsoir,
Je ne comprends pas ce problème. Je n'arrive pas à trouver la réponse. Pouvez-vous m'aider svp?
-
Vérifiée par Alloprof
Secondaire 3 • 2aEst ce que vous pouvez m aidez à trouver la réponse
-
Vérifiée par Alloprof
Secondaire 4 • 2aSalut ! J’aimerais savoir comment bien tracé mon rectangle dans ma correlation linéaire. J’ai l’impression que si je trace le rectangle “correctement” il manque des parties, le rectangle se fait couper. Alors, j’ai peur de faire un mauvais calcul. Merci beaucoup ☺️
-
Vérifiée par Alloprof
Secondaire 4 • 2aJe n’arrive pas à répondre cette question:
-
Vérifiée par Alloprof
Secondaire 1 • 2aBonjour,
J'ai pas compris la différence entre quantitatif continu et quantitatif discret.
Merci
-
Vérifiée par Alloprof
Secondaire 4 • 2aBonjour,
Dans mon problème, je n'ai pas réussit a calculer la cathète de mon petit triangle blanc, afin que je puisse le soustraire avec la longueur de mon triangle coloré pour trouver la largeur de mon rectangle.
Peut-on m'aider? (La photo est en PDF)
Merci : )
-
Vérifiée par Alloprof
Secondaire 4 • 2aPouvez vous m'aider à décrire le rôle des composantes des expressions algébriques : - paramètre
-
Vérifiée par Alloprof
Secondaire 2 • 2aBonjour allô prof est-ce que ça va être 6 sur 6 la probabilité car c'est ça comme je trouve comme résultat
-
Vérifiée par Alloprof
Secondaire 4 • 2aSalut :)
Je commence à réviser pour mon examen ministériel de math cst (sec4) . C'est quoi les chapitres ou les sujets que je dois le plus réviser / sur quoi je dois me concentrer le plus svp ?
-
Vérifiée par Alloprof
Secondaire 4 • 2asalutje ne sais pas par ou commencer dans ce problemeaidez moi svpppp!!
merci :)
-
Vérifiée par Alloprof
Secondaire 5 • 2aBonjour,
Je ne suis pas sure de comprendre ce problème, il y a t’il une différence entre ll u + v ll et ll u ll + ll v ll?
Merci beaucoup
-
Vérifiée par Alloprof
Secondaire 4 • 2aJe ne comprends pas, j’aimerais avoir de l’aide ça compte. Merci!
-
Vérifiée par Alloprof
Secondaire 4 • 2abonjour je ne comprned pas ce numero
-
Vérifiée par Alloprof
Secondaire 1 • 2aBonjour! J'aimerais avoir une recommandation de cites pour avoir plus d'exercices sur les relations d'angles, car j'ai déja fais ceux qui étaient proposés sur alloprof. Merci d'avance!
-LoupAlpha1959
-
Vérifiée par Alloprof
Secondaire 4 • 2aJe ne comprend pas comment trouver la fonction de JM
-
Vérifiée par Alloprof
Secondaire 4 • 2aBonjour,
Je ne comprend pas comment savoir l'ensemble solution d'une inéquation, en fait, seulement si je dois mettre les infinis et inclure ou non les chiffres, par exemple:Comment est-ce que je sais si je dois mettre les inclus exclu ainsi que les infinis. Merci infiniment.
-
Vérifiée par Alloprof
Secondaire 5 • 2aJe n’est pas compris se problème. Malgré les explications qu’on m’a donner je n’arrive toujours pas avancer. Comment je fait pour trouver la fontions j’ai l’impression qu’il me manque des donner. Pouvez vous m’aider à compléter. Merci
-
Vérifiée par Alloprof
Secondaire 4 • 2abonjour, pouvez-vous m’aider avec cette question. Merci! 🙂
-
Vérifiée par Alloprof
Secondaire 1 • 2aBonjour, je ne sais pas comment trouver la longueur de x.




















